русс | укр

Языки программирования

ПаскальСиАссемблерJavaMatlabPhpHtmlJavaScriptCSSC#DelphiТурбо Пролог

Компьютерные сетиСистемное программное обеспечениеИнформационные технологииПрограммирование

Все о программировании


Linux Unix Алгоритмические языки Аналоговые и гибридные вычислительные устройства Архитектура микроконтроллеров Введение в разработку распределенных информационных систем Введение в численные методы Дискретная математика Информационное обслуживание пользователей Информация и моделирование в управлении производством Компьютерная графика Математическое и компьютерное моделирование Моделирование Нейрокомпьютеры Проектирование программ диагностики компьютерных систем и сетей Проектирование системных программ Системы счисления Теория статистики Теория оптимизации Уроки AutoCAD 3D Уроки базы данных Access Уроки Orcad Цифровые автоматы Шпаргалки по компьютеру Шпаргалки по программированию Экспертные системы Элементы теории информации

Некоторые частные формы нахождения интегралов,содержащих тригонометрические функции.


Дата добавления: 2015-01-16; просмотров: 899; Нарушение авторских прав


Для интегрирования рациональных функций вида применяют подстановку , которая называется универсальной тригонометрической подстановкой. Тогда К сожалению, универсальная тригонометрическая подстановка часто приводит к большим вычислениям. Поэтому, по возможности, пользуются следующими подстановками. Если R(-sin(x),cosx) = -R(sin(x),cosx), то делают замену cos(x) = t и тогда sin(x)dx = -dt. При R(sin(x),-cosx) = - R(sin(x),cosx), полагают sin(x)=t при этом cos(x)dx=dt, а в случае R(-sin(x),-cosx) = R(sin(x),cosx) делают замену tg(x)=t, при которой x=arctg(t), , или замену ctg(x)=t, если это удобнее.

ПРИМЕРЫ
1. Вычислить интеграл .
Делаем замену cos(x)=t. Тогда

2. Вычислить интеграл .
Делая замену sin x=t, получаем


3. Найти интеграл .
Делаем замену tg(x)=t Подставляя, получаем

Заметим, что замена ctg(x)=t здесь удобнее, так как тогда , и

поэтому

Интегрирование выражений вида

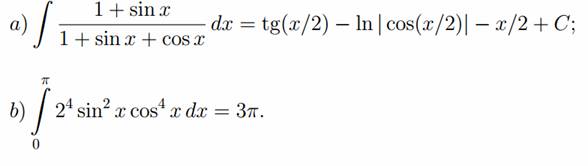
ПРИМЕР №1. Вычислить интегралы:

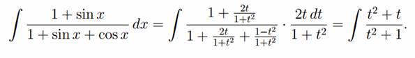
Решение, а). Интегрирование выражений вида , где R — рациональная функция от sin x и cos x, преобразуются в интегралы от ра­циональных функций с помощью универсальной тригонометрической подста­новки tg(x/2) = t. Тогда имеем

Универсальная тригонометрическая подстановка дает возможность перей­ти от интеграла вида к интегралу от дробно-рациональной функции, но часто такая замена ведет к громоздким выражениям. При определенных условиях эффективными оказываются более простые подстановки:

· Если выполняется равенство R(-sin x, cos x) = -R(sin x, cos x), то применяется подстановка cos x = t.

· Если выполняется равенство R(sin x, -cos x) = -R(sin x, cos x), то подстановка sin x = t.

· Если выполняется равенство R(-sin x, -cos x) = R(sin x, cos x)dx, то подстановка tgx = t или ctg x = t.


В данном случае для нахождения интеграла ; применим универсальную тригонометрическую подстановку tg(x/2) = t.
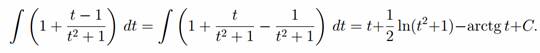
Тогда Так как дробь неправильная, то, выделяя целую часть, получим Возвращась к исходной переменной будем иметь



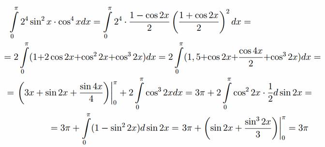
b). Во втором примере рассмотрим важный частный случай, когда общее выражение

имеет вид В этом частном случае если m нечетно, следует применить подстановку cos x = t. Если нечет­но п, следует применить подстановку sin x = t. Если оба показателя тип — четные неотрицательные числа (в частности, одно из них может быть равным нулю), то выполняют замену по известным тригонометрическим формулам:

В данном случае

Ответ:

 



<== предыдущая лекция | следующая лекция ==>
Билет № 8 | Дифференциал функции двух переменных.


Карта сайта Карта сайта укр


Уроки php mysql Программирование

Онлайн система счисления Калькулятор онлайн обычный Инженерный калькулятор онлайн Замена русских букв на английские для вебмастеров Замена русских букв на английские

Аппаратное и программное обеспечение Графика и компьютерная сфера Интегрированная геоинформационная система Интернет Компьютер Комплектующие компьютера Лекции Методы и средства измерений неэлектрических величин Обслуживание компьютерных и периферийных устройств Операционные системы Параллельное программирование Проектирование электронных средств Периферийные устройства Полезные ресурсы для программистов Программы для программистов Статьи для программистов Cтруктура и организация данных


 


Не нашли то, что искали? Google вам в помощь!

 
 

© life-prog.ru При использовании материалов прямая ссылка на сайт обязательна.

Генерация страницы за: 0.292 сек.