Пусть функция z = f(x,y), имеет в точке М0(х0,у0) частные производные f /x (х0,у0) и f /у (х0,у0).
О. Полным приращением функции z = f(x,y) в точке М0(х0,у0) называется разность
где ∆x и ∆y-произвольные приращения аргументов.
Пусть приращение функции z =f(x,y) можно представить в виде
где , то функция называется дифференцируемой в точке M 0 (х0,у0).
О. Полным дифференциалом функции z=f(x,y) называется главная часть полного приращения ∆z , линейная относительно приращений её аргументов ∆x и ∆y . Полный дифференциал функции (если он существует) равен сумме всех ее частных дифференциалов и вычисляется по формуле: 
При достаточно малых (по абсолютному значению) приращениях аргументов, полное приращение функции можно с как угодно малой относительной погрешностью заменить ее полным дифференциалом. Дифференциалы dх и dy независимых аргументов функции х и у совпадают с их приращениями соответственно ∆x и ∆y . Таким образом,

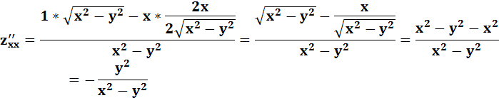
3. 
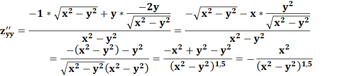
4.