русс | укр

Языки программирования

ПаскальСиАссемблерJavaMatlabPhpHtmlJavaScriptCSSC#DelphiТурбо Пролог

Компьютерные сетиСистемное программное обеспечениеИнформационные технологииПрограммирование

Все о программировании


Linux Unix Алгоритмические языки Аналоговые и гибридные вычислительные устройства Архитектура микроконтроллеров Введение в разработку распределенных информационных систем Введение в численные методы Дискретная математика Информационное обслуживание пользователей Информация и моделирование в управлении производством Компьютерная графика Математическое и компьютерное моделирование Моделирование Нейрокомпьютеры Проектирование программ диагностики компьютерных систем и сетей Проектирование системных программ Системы счисления Теория статистики Теория оптимизации Уроки AutoCAD 3D Уроки базы данных Access Уроки Orcad Цифровые автоматы Шпаргалки по компьютеру Шпаргалки по программированию Экспертные системы Элементы теории информации

ЗАДАНИЕ


Дата добавления: 2015-08-31; просмотров: 1036; Нарушение авторских прав


На расчет электроснабжения строительной площадки.

Вариант 1:

Объект и его обозначение Наименование групп электроприемников Pн, кВт cos γ ПВ X, м Y, м
Башенный кран (БК) Электродвигатель башенных кранов 0,7 0,4
Бетоносмесительное отделение (БСО) Вибраторы 0,7 0,6
Растворнасосы 0,5 0,5
Компрессоры 0,65 0,6
Строящийся корпус (СК) Ручной электроинструмент 0,65 0, 5
Сварочные трансформаторы 0,45 0,55

 

Раздел 1. Расчет мощности, потребляемой строительной площадкой

Определение расчетной активной, реактивной и полной мощностей, потребляемых строительной площадкой, согласно данным приведенным в таблице.

Исходные данные для расчета мощностей:

Задано Определено из приложения I
Наименование групп электропиемников Суммарная установленная мощность Pн, кВт cos γ ПВ Коэффициент спроса Kс
БК Башенный кран 0,7 0,4 0,3
БСО Вибраторы (ВБ) 0,7 0,6 0,25
Растворонасосы (РН) 0,5 0,5 0,7
Компрессоры (К) 0,65 0,6 0,8
СК Ручной электроинструмент (РИ) 0,65 0, 5 0,25
Сварочные трансформаторы (ТС) 0,45 0,55 0,3

1.Определение величины активных расчетных мощностей отдельных групп электроприемников:

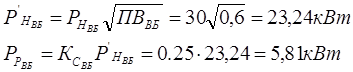
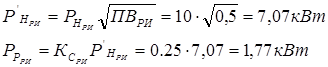
- для башенного крана



- для вибраторов

- для растворонасосов

-.для компрессоров

- для ручного электроинструмента

- для сварочных трансформаторов

 

2.Определение величины активной расчетной мощности всей строительной площадки:

=189,74+5,81+28+40+1,77+7,43=

=272,75 кВт

 

3. Определение величины реактивных расчетных мощностей отдельных групп электроприемников:

- для башенного крана



189,74x1,02=193,53 квар

- для вибраторов

5,81x1,02=5,93 квар

- для растворонасосов

28x1,73=48,5 квар

-.для компрессоров

40x1,17=46,8 квар

- для ручного электроинструмента

1,77x1,17=2,07 квар

- для сварочных трансформаторов

7,43x1,98=14,71 квар

 

4. Определение величины реактивной расчетной мощности всей строительной площадки:

=193,53+5,93+48,5+46,8+2,07+14,71=314,54квар

 

5. Определение расчетной полной мощности и cos всей строительной площадки

кВА

6.Уточнение величин рассчитанных мощностей с учетом коэффициента участия в максимуме нагрузки Км, который принимаем равным 0,85:

Таким образом, полная расчетная мощность всей строительной площадки ; исходя из этого значения можно выбрать мощность трансформатора понижающей трансформаторной подстанции.

Раздел 2. Выбор компенсирующих устройств для строй площадки

Выбор компенсирующих устройств для повышения коэффициента мощности электрооборудования строительной площадки, полученного в результате расчетов в разделе 1 от величины 0,864 до величины 0,95

По результатам расчета выбираем для компенсации конденсаторную установку типа ККУ-0,38-I номинальной мощностью 80 квар.

 

Раздел 3. Выбор мощности силового трансформатора

Выбор силового трансформатора для строительной площадки по результатам расчетов в разделах 1 и 2.

1.Расчет реактивной мощности стройплощадки с учетом мощности компенсирующего устройства:

2.Определение полной расчетной мощности стройплощадки:

3.По результатам пункта 2, исходя из того, что его мощность должна быть больше S’, предварительно выбираем трансформатор типа ТМ-400/10 номинальной мощностью 400 кВА.

4.Расчет потерь в трансформаторе:

5.Определение общей расчетной мощности стройплощадки:

 

6. (400>351,14), поэтому останавливаемся на трансформаторе типа ТМ-400/10 номинальной мощностью 400 кВА


Раздел 4. Определение центра нагрузок.

Определение центра электрической нагрузки стройплощадки, исходя из заданных в таблице координат отдельных объектов и по результатам расчета мощностей этих объектов в разделе 1.

Объект Наименование групп электроприемников Координаты
Х,м У,м
Башенный кран (БК) Электрооборудование крана
Бетоносмесительное отделение (БСО) Вибраторы (ВБ) Растворонасосы (РН) Компрессоры (К)
Строящийся корпус (СК) Ручной электроинструмент (РИ) Сварочные трансформаторы (СТ)

 

1.Расчет полных мощностей отдельных групп электроприемников по данным раздела 1:

- для башенного крана



271,03кВА

- для бетоносмесительного отделения

- для строящегося корпуса

 

2.Определение координат центра нагрузок:

Таким образом, получаем координаты центра нагрузок (62,49), и тем самым определяем место расположения понижающей трансформаторной подстанции.

 

Раздел 5. Выбор сечения кабелей, питающих электропотребители строительной площадки.

Расчет сечения трехфазного кабеля марки АВВГ с прокладкой его в траншее на номинальное напряжение 380В для питания бетоносмесительного отделения и строящегося корпуса строительной площадки по радиальной схеме на основании результатов, полученных в предыдущих разделах.

1.Определение длины кабельной линии:

- для бетоносмесительного отделения L=62,61м

- для строящегося корпуса L=36,1м

2.Расчетные активные мощности групп электроприемников определены в разделе 4, и составляют:

- для бетоносмесительного отделения

- для строящегося корпуса

3.В соответствии с заданием выбираем четырехжильный кабель марки АВВГ, включающий в себя три токоведущих жилы и нулевой провод.

4. Вычисление расчетных токов

- для бетоносмесительного отделения:

S=70мм2

Т.о. выбираем кабель АВВГ 3x70+1x25.

- для строящегося корпуса:

S=4мм2

Т.о. выбираем кабель АВВГ 3x4+1x2,5.

5.Выбор плавкой вставки предохранителя:

- для бетоносмесительного отделения ПР-2-100

- для строящегося корпуса тип предохранителя – ПР-2-60

 

6. Проверка правильности выбора сечения кабеля по условию допустимой величины потери напряжения; принимаем эту величину равной 5%:

а) для бетоносмесительного отделения тип предохранителя

б) для строящегося корпуса тип предохранителя

Выбранные сечения кабелей отвечают требованиям пожарной безопасности и допустимой величины потерь напряжения на линии, а кабели АВВГ 3x70+1x25 и АВВГ 3x6+1x4 могут быть использованы для питания бетоносмесительного отделения и строящегося корпуса строительной площадки соответственно.



<== предыдущая лекция | следующая лекция ==>
Срок сдачи курсовой работы: 02.12.2014г. | Введение


Карта сайта Карта сайта укр


Уроки php mysql Программирование

Онлайн система счисления Калькулятор онлайн обычный Инженерный калькулятор онлайн Замена русских букв на английские для вебмастеров Замена русских букв на английские

Аппаратное и программное обеспечение Графика и компьютерная сфера Интегрированная геоинформационная система Интернет Компьютер Комплектующие компьютера Лекции Методы и средства измерений неэлектрических величин Обслуживание компьютерных и периферийных устройств Операционные системы Параллельное программирование Проектирование электронных средств Периферийные устройства Полезные ресурсы для программистов Программы для программистов Статьи для программистов Cтруктура и организация данных


 


Не нашли то, что искали? Google вам в помощь!

 
 

© life-prog.ru При использовании материалов прямая ссылка на сайт обязательна.

Генерация страницы за: 0.52 сек.