русс | укр

Языки программирования

ПаскальСиАссемблерJavaMatlabPhpHtmlJavaScriptCSSC#DelphiТурбо Пролог

Компьютерные сетиСистемное программное обеспечениеИнформационные технологииПрограммирование

Все о программировании


Linux Unix Алгоритмические языки Аналоговые и гибридные вычислительные устройства Архитектура микроконтроллеров Введение в разработку распределенных информационных систем Введение в численные методы Дискретная математика Информационное обслуживание пользователей Информация и моделирование в управлении производством Компьютерная графика Математическое и компьютерное моделирование Моделирование Нейрокомпьютеры Проектирование программ диагностики компьютерных систем и сетей Проектирование системных программ Системы счисления Теория статистики Теория оптимизации Уроки AutoCAD 3D Уроки базы данных Access Уроки Orcad Цифровые автоматы Шпаргалки по компьютеру Шпаргалки по программированию Экспертные системы Элементы теории информации

Верхнему пределу.


Дата добавления: 2015-08-31; просмотров: 716; Нарушение авторских прав


Пусть функция интегрируема на отрезке , т.е. существует

Из самого определения как предела интегральной суммы следует, что если функция и пределы интегрирования а и b заданы, то интеграл определяется однозначно (есть постоянное число), и значение его не зависит от обозначения переменной интегрирования.

Переменную интегрирования можно обозначить в принципе любой буквой. Тогда справедливы равенства: (2)

Заменив это, рассмотрим определенный интеграл с нижним пределом а и верхним пределом х, где , причем переменную интегрирования мы обозначаем буквой t в отличие от верхнего предела . Каждому значению отрезка соответствует одно определенное число .

 

Тогда, рассматриваемый интеграл представляет собой на некоторую функцию верхнего предела . Обозначим эту функциючерез : 2’)

Относительно этой функции докажем следующую теорему.

Теорема 2.1: Если -непрерывная на функция и , то имеет место равенство:

(2.1)

Другими словами, производная от интеграла (1) по его переменному верхнему пределу равна значению подынтегральной функции при (при условии, что подынтегральная функция непрерывна).

Доказательство:

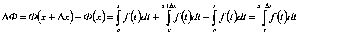
Придадим аргументу x приращение (так чтобы значение принадлежало ). Тогда новое значение функции (2’) будет: . Или по свойству 1.4.4: . Найдем приращение функции : К этому интегралу применим теорему о среднем значении (свойство 1.4.7):

, где заключено между и .

Найдем . По определению производной, .

Но если , то , поэтому и . В силу непрерывности функции (что дано по условию)

Итак, , что и требовалось доказать.

Из доказанной теоремы следуют такие теоремы:

Теорема 2.2: Если функция непрерывна на , то функция , , является первообразной для функции на этом отрезке.

Выше мы доказали, что , а это и означает, что есть первообразная функция для .



Теорема 2.3: Всякая непрерывная на функция имеет на нем первообразную. (об этом говорилось в разделе «Неопределенные интегралы»)

Доказано, примером первообразной функции для является, как мы только что видели, функция .

Теоремы 1 и 2 имеют важное значение в интегральном исчислении.

 



<== предыдущая лекция | следующая лекция ==>
Основные свойства определенного интеграла. | Формула Ньютона-Лейбница.


Карта сайта Карта сайта укр


Уроки php mysql Программирование

Онлайн система счисления Калькулятор онлайн обычный Инженерный калькулятор онлайн Замена русских букв на английские для вебмастеров Замена русских букв на английские

Аппаратное и программное обеспечение Графика и компьютерная сфера Интегрированная геоинформационная система Интернет Компьютер Комплектующие компьютера Лекции Методы и средства измерений неэлектрических величин Обслуживание компьютерных и периферийных устройств Операционные системы Параллельное программирование Проектирование электронных средств Периферийные устройства Полезные ресурсы для программистов Программы для программистов Статьи для программистов Cтруктура и организация данных


 


Не нашли то, что искали? Google вам в помощь!

 
 

© life-prog.ru При использовании материалов прямая ссылка на сайт обязательна.

Генерация страницы за: 0.281 сек.