русс | укр

Языки программирования

ПаскальСиАссемблерJavaMatlabPhpHtmlJavaScriptCSSC#DelphiТурбо Пролог

Компьютерные сетиСистемное программное обеспечениеИнформационные технологииПрограммирование

Все о программировании


Linux Unix Алгоритмические языки Аналоговые и гибридные вычислительные устройства Архитектура микроконтроллеров Введение в разработку распределенных информационных систем Введение в численные методы Дискретная математика Информационное обслуживание пользователей Информация и моделирование в управлении производством Компьютерная графика Математическое и компьютерное моделирование Моделирование Нейрокомпьютеры Проектирование программ диагностики компьютерных систем и сетей Проектирование системных программ Системы счисления Теория статистики Теория оптимизации Уроки AutoCAD 3D Уроки базы данных Access Уроки Orcad Цифровые автоматы Шпаргалки по компьютеру Шпаргалки по программированию Экспертные системы Элементы теории информации

Элементы алгебры матриц.


Дата добавления: 2015-08-14; просмотров: 2816; Нарушение авторских прав


Суммой двух матриц А и В одинакового размера называется -матрица , элементами которой являются суммы соответствующих элементов матриц А и В. Таким образом С=А+В если для всех .

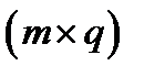
Пример 1.3. Вычислить сумму матриц

Решение.

;

Замечание. Матрицы разных размеров складывать нельзя.

Определение 1.3.Чтобы умножить число на матрицу нужно каждый элемент матрицы умножить на число .

Определение 1.4.Выражение , где -числа, а - матрицы называют линейной комбинацией матриц и .

Правило 1. Умножение вектор строки на вектор – столбец.

Чтобы перемножить вектор- строку на вектор-столбец с одинаковым числом элементов нужно перемножить первый элемент строки на первый элемент столбца, второй элемент строки на второй элемент столбца ит.д. и затем полученные произведения сложить.

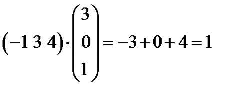
Пример 1.4. Пусть заданы: вектор- строка и вектор- столбец требуется перемножить А на В.

РЕШЕНИЕ. = .

Правило 2. Умножение матрицы А размером ( ) на матрицу В размером ( ).

При умножении матрицы А размером на матрицу В размером получается матрица С размером . Причем элемент матрицы С получается перемножением

ой строки А матрицы и го столбца В матрицы.

Замечание.Правило 2 говорит нам о том, что если число столбцов первого сомножителя совпадает с числом строк второго сомножителя, то такие матрицы перемножать можно .

Пример 1.5. Перемножить матрицы А и В

РЕШЕНИЕ. Условия перемножения матриц выполнены. Начнём с вычисления элемента . Нужно первую строку А матрицы умножить на первый столбец В матрицы: = . Чтобы вычислить элемент нужно первую строку А матрицы умножить на второй столбец В матрицы: = .

Чтобы вычислить элемент нужно первую строку А матрицы умножить на третий столбец

матрицы В матрицы: = .

Остальные элементы С матрицы находим аналогично. Рекомендуем читателю самостоятельно их вычислить.



Ответ: .

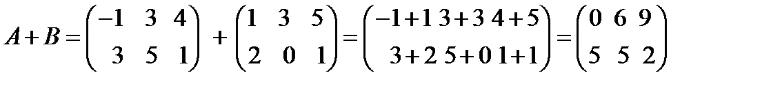
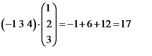
Пример 1.6. Умножение столбца на строку. Перемножить .

Решение. Выписываем правило . В результате должна получиться матрица

С размером (сравните с результатом умножения строки на столбец ( см. пример 1.4))

Ответ: .

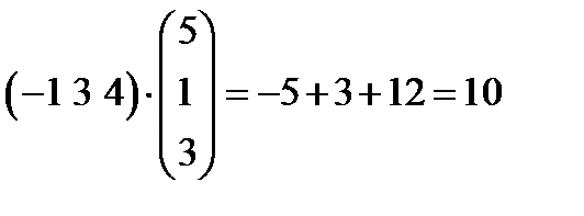
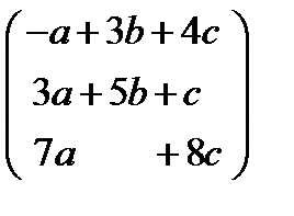
Пример 1.6. Умножение матрицы на столбец.Перемножить

Решение. Выписываем правило . Перемножать можно. В результате получается матрица-столбец размером . Выписываем ответ

=



<== предыдущая лекция | следующая лекция ==>
Тема 1. Матрицы. Основные определения и правила. | Определители квадратных матриц.


Карта сайта Карта сайта укр


Уроки php mysql Программирование

Онлайн система счисления Калькулятор онлайн обычный Инженерный калькулятор онлайн Замена русских букв на английские для вебмастеров Замена русских букв на английские

Аппаратное и программное обеспечение Графика и компьютерная сфера Интегрированная геоинформационная система Интернет Компьютер Комплектующие компьютера Лекции Методы и средства измерений неэлектрических величин Обслуживание компьютерных и периферийных устройств Операционные системы Параллельное программирование Проектирование электронных средств Периферийные устройства Полезные ресурсы для программистов Программы для программистов Статьи для программистов Cтруктура и организация данных


 


Не нашли то, что искали? Google вам в помощь!

 
 

© life-prog.ru При использовании материалов прямая ссылка на сайт обязательна.

Генерация страницы за: 0.181 сек.