Определение 1.5.Определитель матрицы
обозначается
или
.
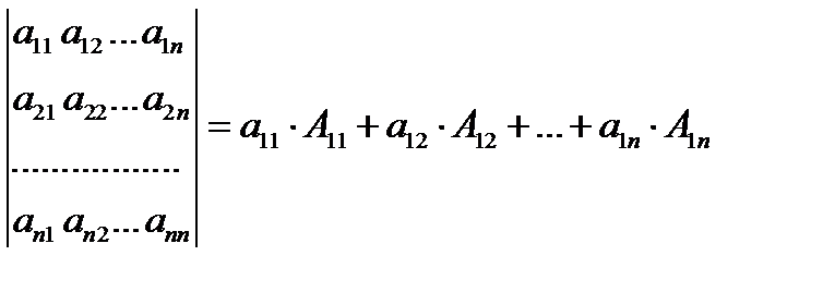
Определение 1.6.Определитель третьего порядка вычисляется разложением по первой строке по формуле
(1.2)
Определение 1.7. Определитель 2-го порядка также вычисляется разложением по первой строке по формуле
(1.3)
-называется минором элемента
. Минор
- это определитель, который получается из определителя
вычёркиванием первой строки и
го столбца.
Определение 1.8.Минор элемента
- это определитель, который получается из заданного определителя вычёркиванием
ой строки и
го столбца.
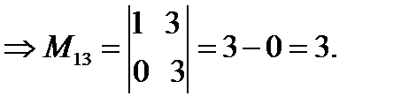
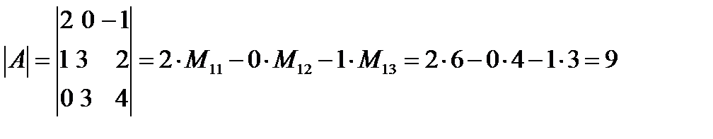
Пример 1.7. Выписать миноры всех элементов определителя 3-го порядка и вычислить определитель

Решение.
Вычисляем миноры элементов первой строки
.

О стальные миноры определителя вычисляются аналогично (проделайте это)

Вычисляем определитель по формуле (1.2) 
Замечание. Определители любого порядка большего, чем третий также можно вычислять
разложением по первой строке по правилу

Здесь
-это алгебраические дополнения .Вычисляемые по формуле
.