русс | укр

Языки программирования

ПаскальСиАссемблерJavaMatlabPhpHtmlJavaScriptCSSC#DelphiТурбо Пролог

Компьютерные сетиСистемное программное обеспечениеИнформационные технологииПрограммирование

Все о программировании


Linux Unix Алгоритмические языки Аналоговые и гибридные вычислительные устройства Архитектура микроконтроллеров Введение в разработку распределенных информационных систем Введение в численные методы Дискретная математика Информационное обслуживание пользователей Информация и моделирование в управлении производством Компьютерная графика Математическое и компьютерное моделирование Моделирование Нейрокомпьютеры Проектирование программ диагностики компьютерных систем и сетей Проектирование системных программ Системы счисления Теория статистики Теория оптимизации Уроки AutoCAD 3D Уроки базы данных Access Уроки Orcad Цифровые автоматы Шпаргалки по компьютеру Шпаргалки по программированию Экспертные системы Элементы теории информации

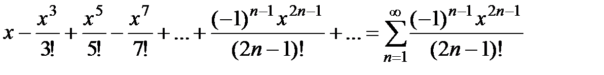
Лекция 5. Ряды Тейлора и Маклорена


Дата добавления: 2015-08-14; просмотров: 11494; Нарушение авторских прав


5.1. Ряды Тейлора и Маклорена. Условия сходимости
рядов Тейлора к исходной функции

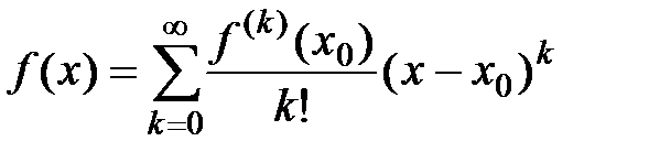
Пусть функция определена в некоторой окрестности точки х0: и имеет производные любого порядка,
тогда для этой функции формально можно составить ряд по степеням :

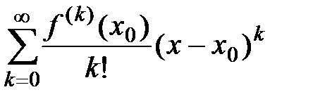
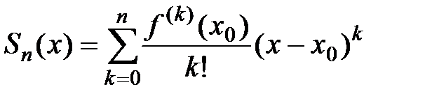
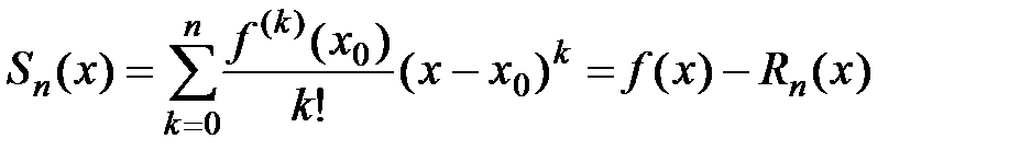
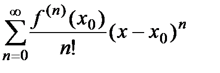
,
где .

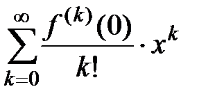
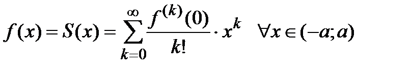
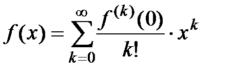
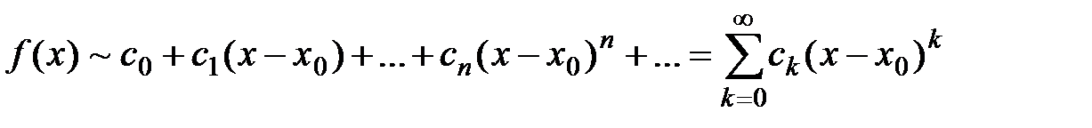
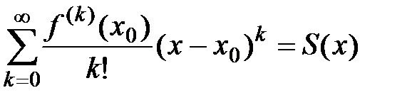
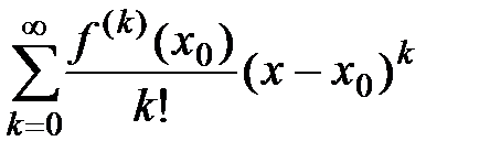
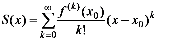
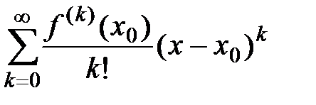
Определение 1. Обобщённый степенной ряд вида
называется рядом Тейлора для функции по степеням . Если положить , то получим ряд , который носит название ряда Маклорена для функции по степеням х.

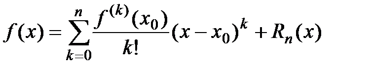
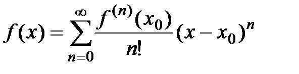
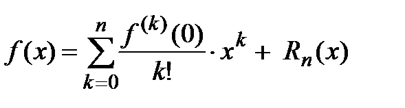
Задача. Пусть задана функция , бесконечно дифференцируемая в окрестности точки х0: , и пусть для этой функции составлен ряд Тейлора по степеням : и его сумма равна . Если интервал является интервалом сходимости данного ряда с радиусом сходимости R, то можно записать равенство:

при всех .

Выясним, при каких условиях такой степенной ряд имеет своей суммой функцию , т.е. когда , поскольку существуют функции, для которых сумма ряда Тейлора не совпадает с данной функцией.

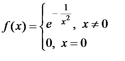
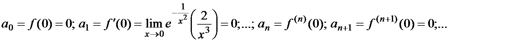
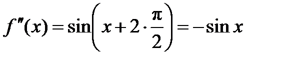
Рассмотрим пример. Дана функция , которая является бесконечно дифференцируемой . Вычислим производные этой функции в точке : Таким образом, все вычисленные коэффициенты ряда Тейлора–Маклорена для данной функции равны 0, поэтому этот ряд сходится на всей оси, его сумма тождественно равна 0: , однако при ( только в начале координат).

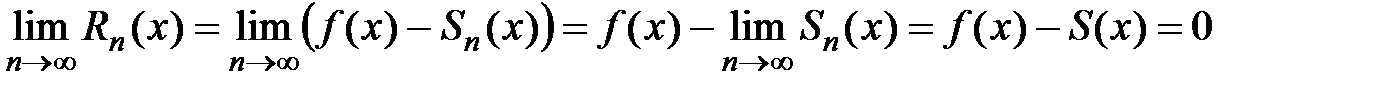
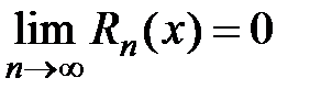
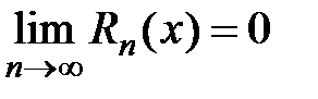
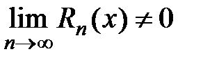
Пусть ряд Тейлора имеет интервал сходимости , где R – радиус сходимости. Тогда, если − частичная сумма этого ряда, то для любого существует . Рассмотрим теорему, которая даёт условия того, что .

Теорема 1 (необходимый и достаточный признак сходимости ряда Тейлора к функции f(x)). Для того чтобы ряд Тейлора , , имел своей суммой функцию , т.е. , необходимо и достаточно, чтобы

 

для всех существовал предел , где − остаток ряда Тейлора.

Доказательство. 1) Необходимость. Пусть функция есть сумма ряда Тейлора на указанном промежутке: , или , где − частичная сумма ряда Тейлора, − остаток ряда Тейлора. Из условия сходимости ряда существует предел , и так как , то существует предел



,

т.е. . Необходимость доказана.

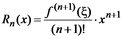
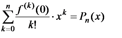
2) Достаточность. Пусть существует . Так как функция бесконечно дифференцируема при всех , то для неё имеет место формула Тейлора для всех , где − остаточный член формулы Тейлора, который совпадает с остатком ряда Тейлора. Тогда частичная сумма соответствующего ряда Тейлора имеет вид:

.

Рассмотрим предел , который обозначим через , учитывая, что : , т.е. . Достаточность доказана.

Замечание. Если , то сумма ряда Тейлора может не совпадать

с данной функцией, т.е. , хотя сам ряд может сходиться к другой функции.

Необходимое и достаточное условие сходимости ряда Тейлора к
исходной функции неудобно для проверки на практике конкретных рядов; существуют более простые, хотя и более жёсткие, достаточные условия разложения функции в ряды Тейлора−Маклорена. Сначала сформулируем лемму.

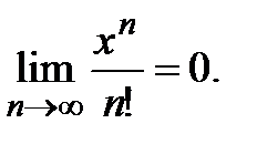
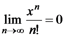
Лемма. Для любого R существует следующий предел:

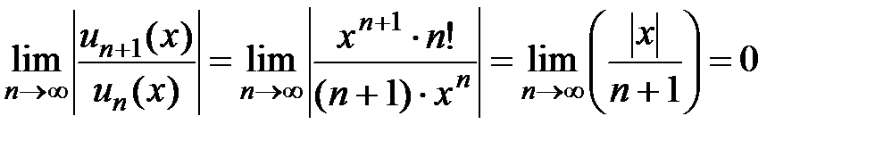
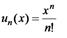
Доказательство. Рассмотрим степенной ряд , общий член которого . Найдём радиус и область сходимости этого ряда, используя признак
Даламбера. Вычисляем предел, учитывая, что :

,

т.е. радиус сходимости ряда . Следовательно, рассмотренный ряд сходится для всех R, тогда по необходимому признаку сходимости общий член ряда , , т.е. для любого

R.

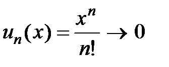
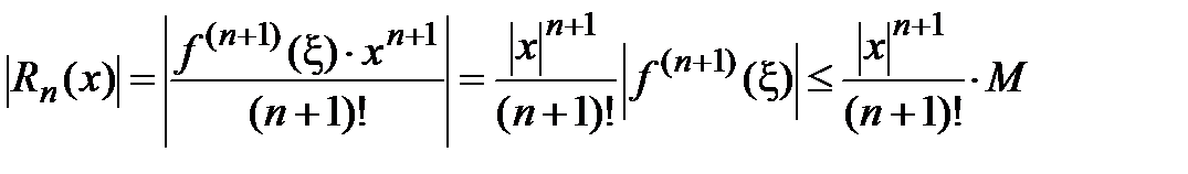
Теорема 2 (достаточные условия разложимости функции f(x) в ряд Маклорена). Пусть функция определена и бесконечно дифференцируема на интервале . Если существует такое число , что для каждого натурального N и всех выполняется неравенство: (это означает, что производные любого порядка ограничены одним и тем же числом), тогда остаток ряда Маклорена при , а значит, .

Доказательство. Покажем, что остаток ряда Маклорена стремится к нулю при . Запишем для функции формулу Маклорена с остаточным членом в форме Лагранжа: , где − многочлен Маклорена, а . Отметим, что частичная сумма ряда Маклорена совпадает с многочленом Маклорена , а остаток ряда есть . Выполним его оценку, используя условия теоремы 2 и учитывая, что для всех :

.
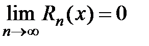
По лемме при , тогда , .
Следовательно, по теореме 1 о необходимом и достаточном признаке сходимости ряда Тейлора к исходной функции получаем . Теорема доказана.

5.2. Разложение основных элементарных функций в степенные ряды

Используем изложенную выше теорию для разложения основных элементарных функций в степенные ряды. Для разложения функции

в степенной ряд по степеням можно рекомендовать следующий

порядок действий:

1) Находим производные функции в точке :

2) Составляем ряд Тейлора .

3) Находим интервал сходимости данного ряда: , где R– радиус сходимости.

4) Исследуем поведение остатка ряда для всех

Если окажется, что , то на основании теорем 1 и 2 делаем вывод, что при всех .
В результате получаем формулу разложения функции в степенной ряд.

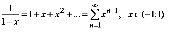
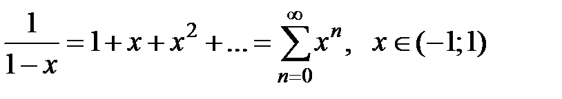
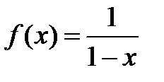
· Разложение в степенной ряд функции имеет вид:

(1)

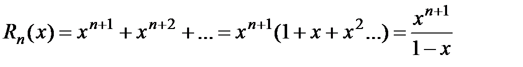
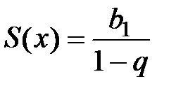
Вывод. Рассмотрим ряд геометрической прогрессии , знаменатель которой и . Можно показать, что интервал сходимости этого ряда , и сумма этого ряда (сумма ряда бесконечно убывающей геометрической прогрессии вычисляется по формуле ). Оценим остаток ряда:

.

При , , тогда на основании теоремы 1

рассмотренный ряд имеет своей суммой функцию .

Разложение (1) имеет место.

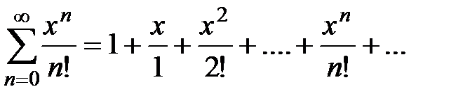
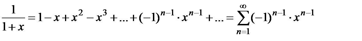
· Разложение в степенной ряд функции имеет вид:

, R (2)

Вывод. Для данной функции запишем ряд Маклорена: . Так как функция − бесконечно дифференцируема, то все производные существуют и равны

N.

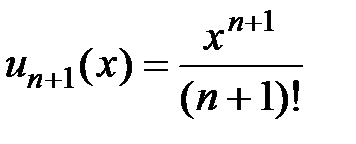
Находим эти производные в точке ; получаем для всех N, тогда ряд Маклорена приобретает вид:

.

Этот ряд сходится для всех R. Покажем, что сумма этого ряда равна . Фиксируем некоторое число R и рассмотрим некоторый отрезок [−a; a], на котором для любого N. В этом случае по теореме 2 данный ряд Маклорена будет сходиться на указанном отрезке к исходной функции . Отметим, что это верно для любого фиксированного числа R. Разложение (2) имеет место при всех R.

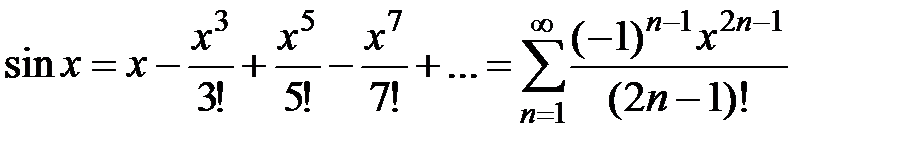
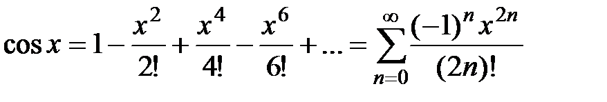
· Разложение в степенной ряд функции имеет вид:

, R (3)

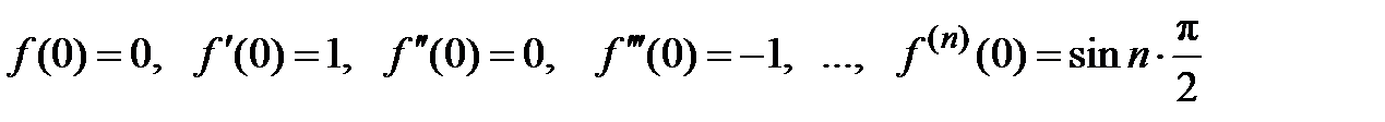
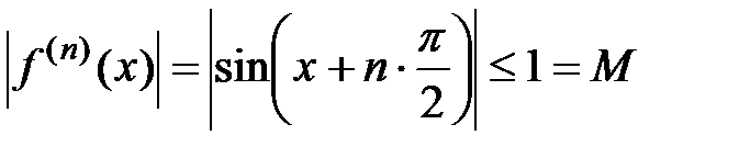
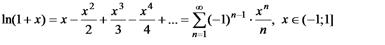
Вывод. Для функции запишем ряд Маклорена .

Находим все производные: , , , , …, . Вычисляем эти производные в точке х = 0:

.

Подставив эти значения в ряд Маклорена, получаем ряд:

.

Данный ряд сходится при любом ; покажем, что он сходится к функции . Согласно теореме 2 (поскольку , т.е. все производные ограничены одним и тем же числом) данный ряд Маклорена будет сходиться к исходной функции при всех R. Таким образом разложение (3) имеет место.

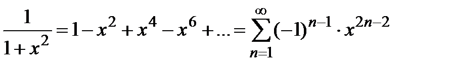
· Разложение в степенной ряд функции имеет вид:

, R (4)

Вывод. Рассмотрим разложение (3)

, R. Продифференцируем данный степенной ряд; получившийся новый ряд будет также сходиться при всех R к функции, которая равна производной от (свойство 3, лекция 4, разд. 4.3), т.е.

.
Таким образом, разложение (4) имеет место.

· Разложение в степенной ряд функции имеет вид:

(5)

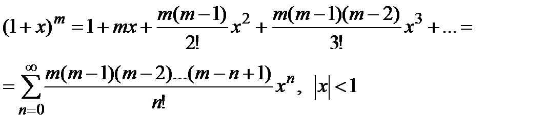
Разложение (5) приводится без вывода. Отметим, что оно верно при фиксированном R и называется биномиальным рядом.
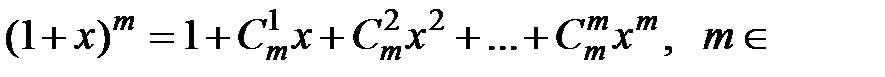
При натуральном N этот ряд представляет собой конечную сумму, известную как бином Ньютона:

N.
Для нецелых m имеет место формула Тейлора:

При из этой формулы получаем бесконечный степенной ряд (5). Найдём радиус его сходимости, применяя признак Даламбера. Учитывая, что , , вычисляем предел:

,

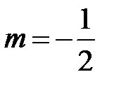
тогда при ряд сходится и его радиус сходимости , а интервал сходимости (−1;1) ; можно показать, что , .
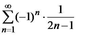
Итак, разложение (5) верно для всех . В частном случае, когда , из разложения (5) получаем ряд :

,

который при абсолютно сходится. Если в каждом члене ряда заменить х на (− х), то получим разложение (1):

.

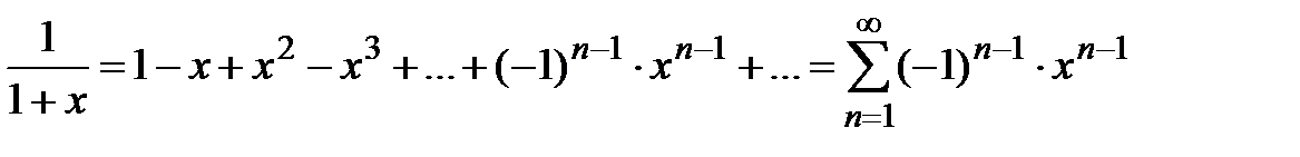
· Разложение в степенной ряд функции имеет вид:

(6)

Вывод. Из разложения (5) биномиального ряда при получаем ряд геометрической прогрессии со знаменателем

,

который сходится при , т.е. этот ряд имеет интервал сходимости (−1;1) с радиусом сходимости .

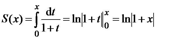
Полученный ряд почленно интегрируем на отрезке , используя свойство 3 (лекция 4, разд. 4.3); при этом интервал сходимости сохранится:

.

Сумма полученного ряда равна

(или , так как ).

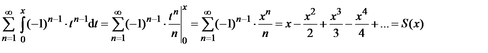
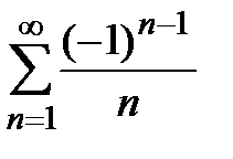
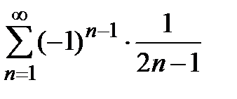
Таким образом, , т.е. имеет место разложение (6) при . Исследуя сходимость данного ряда в точке , получаем числовой ряд , который условно сходится. Таким образом, область сходимости ряда в разложении (6) имеет вид , а радиус сходимости .

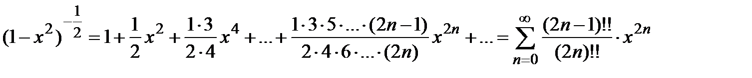
· Разложение в степенной ряд функции имеет вид:

(7)

Вывод. Из разложения (5) биномиального ряда при получаем
разложение

,

из которого заменой на вытекает следующий ряд:

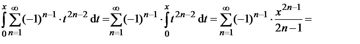
,

сходящийся при , а именно, при . Полученный ряд почленно интегрируем на отрезке , используя свойство 3 (лекция 4, разд. 4.3); при этом интервал сходимости сохранится, обозначим :

.

Сумма полученного ряда

.

Таким образом, , т.е. разложение (7)

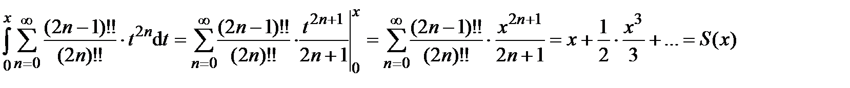
имеет место при . Исследуя разложение (7) в точках и , получаем два условно сходящихся числовых ряда и соответственно. Таким образом, область сходимости ряда (7) является отрезком , а радиус сходимости R равен 1.

· Разложение в степенной ряд функции имеет вид:

(8)

Вывод. Из разложения (5) биномиального ряда при и при замене на получаем разложение в степенной ряд:

.

Получившийся ряд сходится при . Этот ряд почленно проинтегрируем на отрезке , используя свойство 3 (лекция 4, разд. 4.3); при этом интервал сходимости сохранится:

.

Сумма полученного ряда . Таким образом,

,

т.е. имеет место разложение (8) на интервале сходимости .

В заключение добавим, что все перечисленные в разделе 5.2 разложения называют основными разложениями элементарных функций в

степенной ряд, которые используются как эталонные для разложения

других функций.



<== предыдущая лекция | следующая лекция ==>
Формула Тейлора | Задания по теме «Ряды»


Карта сайта Карта сайта укр


Уроки php mysql Программирование

Онлайн система счисления Калькулятор онлайн обычный Инженерный калькулятор онлайн Замена русских букв на английские для вебмастеров Замена русских букв на английские

Аппаратное и программное обеспечение Графика и компьютерная сфера Интегрированная геоинформационная система Интернет Компьютер Комплектующие компьютера Лекции Методы и средства измерений неэлектрических величин Обслуживание компьютерных и периферийных устройств Операционные системы Параллельное программирование Проектирование электронных средств Периферийные устройства Полезные ресурсы для программистов Программы для программистов Статьи для программистов Cтруктура и организация данных


 


Не нашли то, что искали? Google вам в помощь!

 
 

© life-prog.ru При использовании материалов прямая ссылка на сайт обязательна.

Генерация страницы за: 0.978 сек.