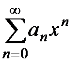
Рассмотрим степенной ряд
, у которого интервал сходимости
, тогда сумма степенного ряда
определена для всех
и можно записать равенство
.
Свойство 1. Степенной ряд
сходится абсолютно в любом промежутке
, лежащем в интервале сходимости, причём сумма степенного ряда
является непрерывной функцией при всех
.
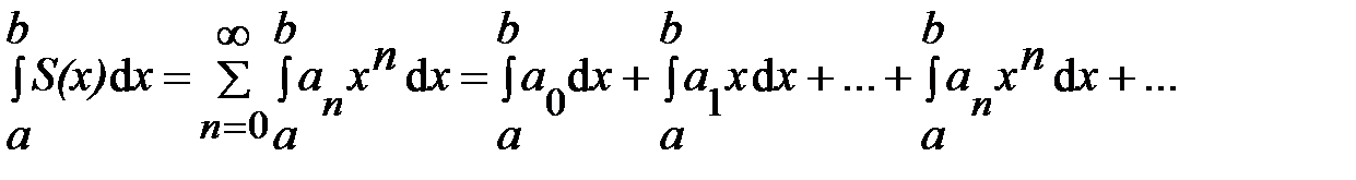
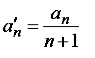
Свойство 2. Если отрезок
, то степенной ряд можно
почленно интегрировать от a до b, т.е. если
, то
.
При этом радиус сходимости не меняется:

где
− коэффициенты проинтегрированного ряда.
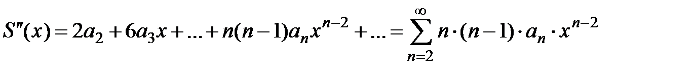
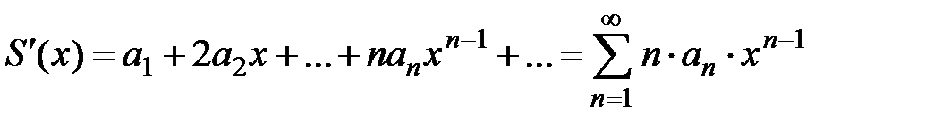
Свойство 3. Сумма степенного ряда есть функция, имеющая внутри интервала сходимости производные любого порядка. Производные от суммы степенного ряда будут суммами рядов, полученных из данного степенного ряда почленным дифференцированием соответствующее число раз, причём радиусы сходимости таких рядов будут те же, что и у исходного ряда.
Если
,
то
,
, …, и т.д.