русс | укр

Языки программирования

ПаскальСиАссемблерJavaMatlabPhpHtmlJavaScriptCSSC#DelphiТурбо Пролог

Компьютерные сетиСистемное программное обеспечениеИнформационные технологииПрограммирование

Все о программировании


Linux Unix Алгоритмические языки Аналоговые и гибридные вычислительные устройства Архитектура микроконтроллеров Введение в разработку распределенных информационных систем Введение в численные методы Дискретная математика Информационное обслуживание пользователей Информация и моделирование в управлении производством Компьютерная графика Математическое и компьютерное моделирование Моделирование Нейрокомпьютеры Проектирование программ диагностики компьютерных систем и сетей Проектирование системных программ Системы счисления Теория статистики Теория оптимизации Уроки AutoCAD 3D Уроки базы данных Access Уроки Orcad Цифровые автоматы Шпаргалки по компьютеру Шпаргалки по программированию Экспертные системы Элементы теории информации

Степенные ряды: основные понятия, теорема Абеля


Дата добавления: 2015-08-14; просмотров: 3970; Нарушение авторских прав


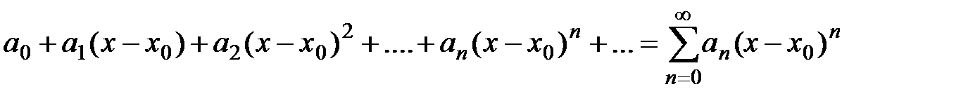
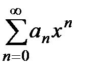
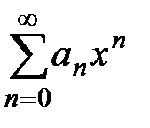
Рассмотрим частный случай функционального ряда, так называемый степенной ряд , где .

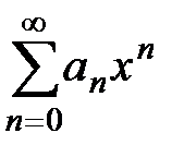
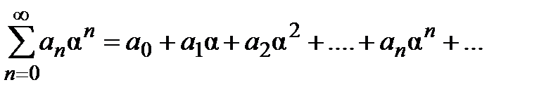
Определение 3. Степенным рядом называется функциональный ряд вида ,

где − постоянные числа, называемые коэффициентами ряда.

Степенной ряд есть «бесконечный многочлен», расположенный по возрастающим степеням . Любой числовой ряд является
частным случаем степенного ряда при .

Рассмотрим частный случай степенного ряда при : . Выясним, какой вид имеет
область сходимости данного ряда .

Теорема 1 (теорема Абеля). 1) Если степенной ряд сходится в точке , то он абсолютно сходится при всяком х, для которого справедливо неравенство .

2) Если же степенной ряд расходится при , то он расходится при всяком х, для которого .

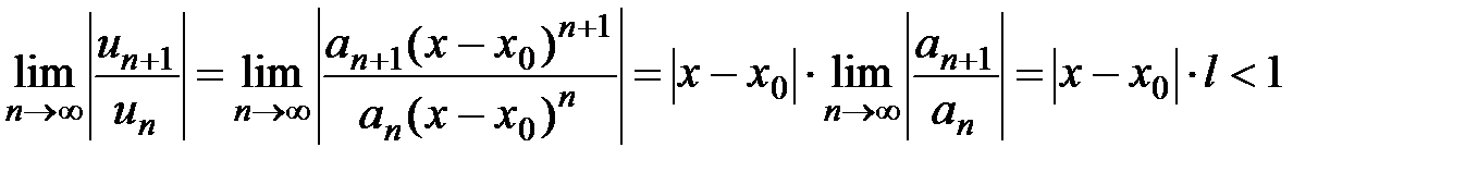
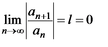
Доказательство. 1) По условию степенной ряд сходится в точке ,

т. е. сходится числовой ряд

(1)

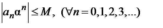
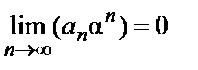
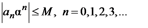
и по необходимому признаку сходимости его общий член стремится к 0, т.е. . Следовательно, существует такое число , что все члены ряда ограничены этим числом: .

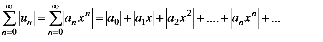
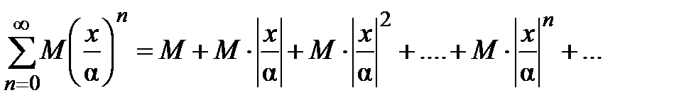
Рассмотрим теперь любое х, для которого , и составим ряд из абсолютных величин: .
Запишем этот ряд в другом виде: так как , то (2).

Из неравенства получаем , т.е. ряд

(3)

состоит из членов, которые больше соответствующих членов ряда (2). Ряд представляет собой сходящийся ряд геометрической прогрессии со знаменателем , причём , так как . Следовательно, ряд (2) сходится при . Таким образом, степенной ряд абсолютно сходится.

2) Пусть ряд расходится при , иными словами,

расходится числовой ряд . Докажем, что для любого х ( ) ряд расходится. Доказательство ведётся от противного. Пусть при некотором

фиксированном ( ) ряд сходится, тогда он сходится при всех (см. первую часть данной теоремы), в частности, при , что противоречит условию 2) теоремы 1. Теорема доказана.



Следствие. Теорема Абеля позволяет судить о расположении точки сходимости степенного ряда. Если точка является точкой сходимости степенного ряда, то интервал заполнен точками сходимости; если точкой расходимости является точка , то
бесконечные интервалы заполнены точками расходимости (рис. 1).

Рис. 1. Интервалы сходимости и расходимости ряда

Можно показать, что существует такое число , что при всех степенной ряд абсолютно сходится, а при − расходится. Будем считать, что если ряд сходится только в одной точке 0, то , а если ряд сходится при всех , то .

Определение 4. Интервалом сходимости степенного ряда называется такой интервал , что при всех этот ряд сходится и притом абсолютно, а для всех х, лежащих вне этого интервала, ряд расходится. Число R называется радиусом сходимости степенного ряда.

Замечание. На концах интервала вопрос о сходимости или расходимости степенного ряда решается отдельно для каждого конкретного ряда.

Покажем один из способов определения интервала и радиуса сходимости степенного ряда.

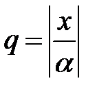
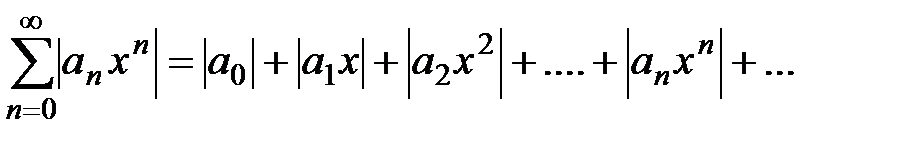
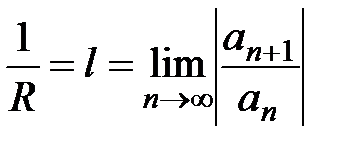
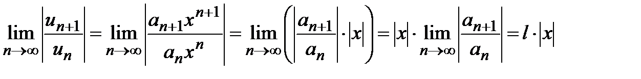
Рассмотрим степенной ряд и обозначим .

Составим ряд из абсолютных величин его членов:

и применим к нему признак Даламбера.

Пусть существует

,

где

.

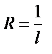
По признаку Даламбера ряд сходится, если , и расходится, если . Отсюда ряд сходится при , тогда интервал сходимости: . При ряд расходится, так как .
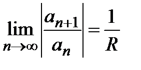
Используя обозначение , получим формулу для определения радиуса сходимости степенного ряда:

,

где − коэффициенты степенного ряда.

Если окажется, что предел , то полагаем .

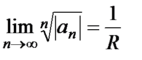
Для определения интервала и радиуса сходимости степенного ряда также можно использовать радикальный признак Коши, радиус сходимости ряда определяется из соотношения .

Определение 5. Обобщенным степенным рядом называется ряд вида

. Его также называют рядом по степеням .
Для такого ряда интервал сходимости имеет вид: , где − радиус сходимости.

Покажем, как находится радиус сходимости для обобщенного степенного ряда.

,

т.е. , где .

Если , то , и область сходимости R; если , то и область сходимости .

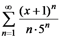
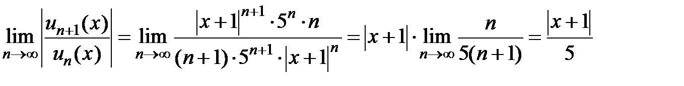
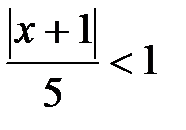
Пример 2. Найти область сходимости ряда .

Решение. Обозначим . Составим предел

.

Решаем неравенство: , , следовательно, интервал

сходимости имеет вид: , причём R = 5. Дополнительно исследуем концы интервала сходимости:
а) , , получаем ряд , который расходится;
б) , , получаем ряд , который сходится
условно. Таким образом, область сходимости: , .

Ответ: область сходимости .

Пример 3. Ряд расходится для всех , так как при , радиус сходимости .

Пример 4. Ряд сходится при всех R, радиус сходимости .



<== предыдущая лекция | следующая лекция ==>
Функциональные ряды: основные понятия, область сходимости | Свойства степенных рядов


Карта сайта Карта сайта укр


Уроки php mysql Программирование

Онлайн система счисления Калькулятор онлайн обычный Инженерный калькулятор онлайн Замена русских букв на английские для вебмастеров Замена русских букв на английские

Аппаратное и программное обеспечение Графика и компьютерная сфера Интегрированная геоинформационная система Интернет Компьютер Комплектующие компьютера Лекции Методы и средства измерений неэлектрических величин Обслуживание компьютерных и периферийных устройств Операционные системы Параллельное программирование Проектирование электронных средств Периферийные устройства Полезные ресурсы для программистов Программы для программистов Статьи для программистов Cтруктура и организация данных


 


Не нашли то, что искали? Google вам в помощь!

 
 

© life-prog.ru При использовании материалов прямая ссылка на сайт обязательна.

Генерация страницы за: 0.457 сек.