русс | укр

Языки программирования

ПаскальСиАссемблерJavaMatlabPhpHtmlJavaScriptCSSC#DelphiТурбо Пролог

Компьютерные сетиСистемное программное обеспечениеИнформационные технологииПрограммирование

Все о программировании


Linux Unix Алгоритмические языки Аналоговые и гибридные вычислительные устройства Архитектура микроконтроллеров Введение в разработку распределенных информационных систем Введение в численные методы Дискретная математика Информационное обслуживание пользователей Информация и моделирование в управлении производством Компьютерная графика Математическое и компьютерное моделирование Моделирование Нейрокомпьютеры Проектирование программ диагностики компьютерных систем и сетей Проектирование системных программ Системы счисления Теория статистики Теория оптимизации Уроки AutoCAD 3D Уроки базы данных Access Уроки Orcad Цифровые автоматы Шпаргалки по компьютеру Шпаргалки по программированию Экспертные системы Элементы теории информации

Функциональные ряды: основные понятия, область сходимости


Дата добавления: 2015-08-14; просмотров: 5506; Нарушение авторских прав


Определение 1. Ряд, члены которого являются функциями одной или
нескольких независимых переменных, определёнными на некотором множестве, называется функциональным рядом.

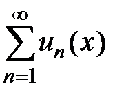
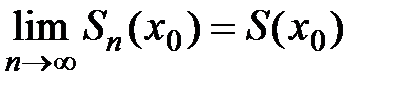
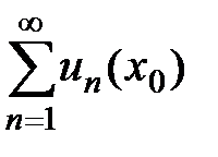
Рассмотрим функциональный ряд , члены которого являются функциями одной независимой переменной х. Сумма первых n членов ряда является частичной суммой данного функционального ряда. Общий член есть функция от х, определённая в некоторой области. Рассмотрим функциональный ряд в точке . Если соответствующий числовой ряд сходится, т.е. существует предел частичных сумм этого ряда (где − сумма числового ряда), то точка называется точкой сходимости функционального ряда . Если числовой ряд расходится, то точка называется точкой расходимости функционального ряда.

Определение 2. Областью сходимости функционального ряда называется множество всех таких значений х, при которых функциональный ряд сходится. Область сходимости, состоящая из всех точек сходимости, обозначается . Отметим, что R.

Функциональный ряд сходится в области , если для любого он сходится как числовой ряд, при этом его сумма будет некоторой функцией . Это так называемая предельная функция последовательности : .

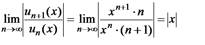
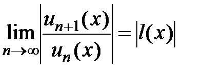
Как находить область сходимости функционального ряда ? Можно использовать признак, аналогичный признаку Даламбера. Для ряда составляем и рассматриваем предел при фиксированном х: . Тогда является решением неравенства и решением уравнения (берём только те решения уравнения, в
которых соответствующие числовые ряды сходятся).

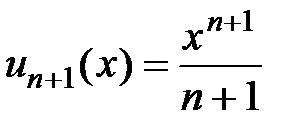
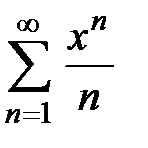
Пример 1. Найти область сходимости ряда .

Решение. Обозначим , . Составим и вычислим предел , тогда область сходимости ряда определяется неравенством и уравнением . Исследуем дополнительно сходимость исходного ряда в точках, являющимися корнями уравнения:

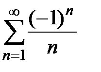
а) если , , то получается расходящийся ряд ;



б) если , , то ряд сходится условно (по

признаку Лейбница, пример 1, лекция 3, разд. 3.1).

Таким образом, область сходимости ряда имеет вид: .



<== предыдущая лекция | следующая лекция ==>
Свойства абсолютно и условно сходящихся рядов | Степенные ряды: основные понятия, теорема Абеля


Карта сайта Карта сайта укр


Уроки php mysql Программирование

Онлайн система счисления Калькулятор онлайн обычный Инженерный калькулятор онлайн Замена русских букв на английские для вебмастеров Замена русских букв на английские

Аппаратное и программное обеспечение Графика и компьютерная сфера Интегрированная геоинформационная система Интернет Компьютер Комплектующие компьютера Лекции Методы и средства измерений неэлектрических величин Обслуживание компьютерных и периферийных устройств Операционные системы Параллельное программирование Проектирование электронных средств Периферийные устройства Полезные ресурсы для программистов Программы для программистов Статьи для программистов Cтруктура и организация данных


 


Не нашли то, что искали? Google вам в помощь!

 
 

© life-prog.ru При использовании материалов прямая ссылка на сайт обязательна.

Генерация страницы за: 0.228 сек.