русс | укр

Языки программирования

ПаскальСиАссемблерJavaMatlabPhpHtmlJavaScriptCSSC#DelphiТурбо Пролог

Компьютерные сетиСистемное программное обеспечениеИнформационные технологииПрограммирование

Все о программировании


Linux Unix Алгоритмические языки Аналоговые и гибридные вычислительные устройства Архитектура микроконтроллеров Введение в разработку распределенных информационных систем Введение в численные методы Дискретная математика Информационное обслуживание пользователей Информация и моделирование в управлении производством Компьютерная графика Математическое и компьютерное моделирование Моделирование Нейрокомпьютеры Проектирование программ диагностики компьютерных систем и сетей Проектирование системных программ Системы счисления Теория статистики Теория оптимизации Уроки AutoCAD 3D Уроки базы данных Access Уроки Orcad Цифровые автоматы Шпаргалки по компьютеру Шпаргалки по программированию Экспертные системы Элементы теории информации

Знакопостоянные ряды, ряды с положительными членами


Дата добавления: 2015-08-14; просмотров: 2030; Нарушение авторских прав


Установление сходимости или расходимости числового ряда −
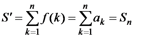
основной вопрос теории рядов; нахождение суммы ряда в случае его сходимости – второстепенная задача. Вопрос сходимости проще всего решается для знакопостоянных рядов, когда все члены ряда одного знака. Для определённости будем рассматривать ряды с положительными ( ) или с неотрицательными членами ( ). Характерным свойством таких рядов является монотонное возрастание (не убывание) последовательности частичных сумм:

.

Ряд с положительными членами всегда имеет сумму; если эта сумма конечна, то ряд сходится.

Выяснение сходимости рядов с положительными членами опирается на признаки сходимости, которые являются либо необходимыми, либо достаточными, либо необходимыми и достаточными. В частности, к таким рядам применим приведенный выше необходимый признак сходимости рядов (теорема 1). Существует признак, являющийся необходимым и достаточным, который устанавливается следующей теоремой.

Теорема 2. Для сходимости ряда с положительными членами необходимо и достаточно, чтобы последовательность его частичных сумм была ограничена сверху.

Доказательство (необходимость). Пусть ряд сходится, тогда последовательность его частичных сумм сходится, а значит, она ограничена сверху.

Доказательство (достаточность). Так как последовательность частичных сумм монотонно возрастает и ограничена сверху, то она имеет предел, т.е.соответствующий ряд сходится (теорема Вейерштрасса для числовых

последовательностей). Теорема доказана.

Следует отметить, что на практике этот признак трудно применим, хотя и представляет собой большой теоретический интерес.

Далее рассматриваются некоторые признаки сходимости рядов с положительными членами, удобные для практического применения, которые являются только достаточными признаками (интегральный и радикальный признаки Коши, признаки сравнения, признак Даламбера).



1.5. Интегральный признак Коши сходимости ряда
с положительными членами

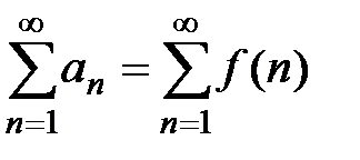
Теорема 3 (интегральный признак Коши). Пусть дан ряд , члены которого удовлетворяют трём условиям:

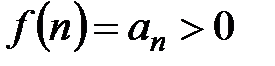
а) , т.е. исходный ряд с положительными членами;

б) члены ряда монотонно убывают, т.е. ;

в) общий член ряда стремится к нулю: .

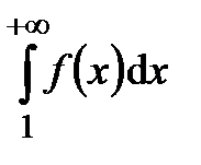
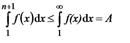
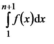
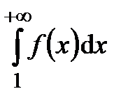
Пусть существует непрерывная, монотонно убывающая, определённая при функция f(x), такая что , т.е. . Тогда, если несобственный интеграл сходится, то ряд тоже сходится; если указанный интеграл расходится, то этот ряд расходится.

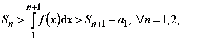
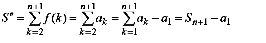
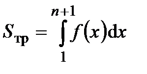
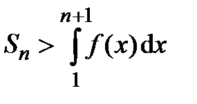
Доказательство. Из условий теоремы следует при . Рассмотрим криволинейную трапецию, ограниченную линиями , , и осью 0х (рис.1). Разобьём отрезок

точками и рассмотрим n криволинейных трапеций.

Рис. 1. Площадь криволинейной трапеции

Из геометрического смысла интеграла площадь криволинейной

трапеции . Заменим эту площадь суммой площадей n

прямоугольников с единичными основаниями:

, ,

причём , а .

Из графика (рис. 1) следует: , т.е. .

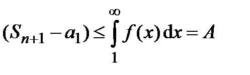
Рассмотрим два случая.

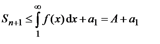
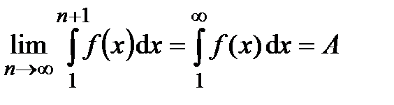
1) Пусть сходится, т.е. имеет конечный предел . Так как , то и .

Итак, частичные суммы ряда ограничены N, тогда по теореме 2

(необходимый и достаточный признак сходимости ряда с положительными членами) ряд сходится, значит, существует .

2) Пусть интеграл расходится, т.е. неограниченно возрастает при . Тогда из неравенства следует, что последовательность неограниченно возрастает: , т.е. ряд расходится. Теорема доказана.

Замечание 1. Теорема остаётся верной и тогда, когда её условия выполняются не для всех членов ряда, а лишь начиная с k-го ( ), в таком случае рассматривается интеграл .
Замечание 2. Интегральный признак Коши существенно облегчает исследование сходимости ряда, так как позволяет свести этот вопрос к выяснению сходимости интеграла от удачно подобранной соответствующей функции , что легко выполняется, применяя методы интегрального исчисления.



<== предыдущая лекция | следующая лекция ==>
Некоторые сведения о последовательностях | Ряды Дирихле и их сходимость, гармонический ряд


Карта сайта Карта сайта укр


Уроки php mysql Программирование

Онлайн система счисления Калькулятор онлайн обычный Инженерный калькулятор онлайн Замена русских букв на английские для вебмастеров Замена русских букв на английские

Аппаратное и программное обеспечение Графика и компьютерная сфера Интегрированная геоинформационная система Интернет Компьютер Комплектующие компьютера Лекции Методы и средства измерений неэлектрических величин Обслуживание компьютерных и периферийных устройств Операционные системы Параллельное программирование Проектирование электронных средств Периферийные устройства Полезные ресурсы для программистов Программы для программистов Статьи для программистов Cтруктура и организация данных


 


Не нашли то, что искали? Google вам в помощь!

 
 

© life-prog.ru При использовании материалов прямая ссылка на сайт обязательна.

Генерация страницы за: 0.57 сек.