русс | укр

Языки программирования

ПаскальСиАссемблерJavaMatlabPhpHtmlJavaScriptCSSC#DelphiТурбо Пролог

Компьютерные сетиСистемное программное обеспечениеИнформационные технологииПрограммирование

Все о программировании


Linux Unix Алгоритмические языки Аналоговые и гибридные вычислительные устройства Архитектура микроконтроллеров Введение в разработку распределенных информационных систем Введение в численные методы Дискретная математика Информационное обслуживание пользователей Информация и моделирование в управлении производством Компьютерная графика Математическое и компьютерное моделирование Моделирование Нейрокомпьютеры Проектирование программ диагностики компьютерных систем и сетей Проектирование системных программ Системы счисления Теория статистики Теория оптимизации Уроки AutoCAD 3D Уроки базы данных Access Уроки Orcad Цифровые автоматы Шпаргалки по компьютеру Шпаргалки по программированию Экспертные системы Элементы теории информации

Некоторые сведения о последовательностях


Дата добавления: 2015-08-14; просмотров: 1016; Нарушение авторских прав


Пусть каждому значению N поставлено в соответствие (по определённым правилам) определённое действительное число R; тогда множество упорядоченных действительных чисел называется числовой последовательностью и обозначается , где − общий член последовательности. Например, последовательность имеет общий член , где N.

Определение 1. Последовательность называется убывающей, если N, и возрастающей, если N.

Определение 2. Последовательность называется ограниченной сверху, если существует такое число М, R, что N, и ограниченной снизу, если существует такое число М, R, что N.

Определение 3. Последовательность называется ограниченной, если она ограничена как снизу, так и сверху, т.е. существует такое число М > 0

( R), что .

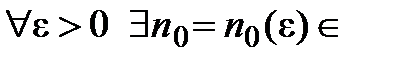
Определение 4. Число а называется пределом последовательности ,
если для любого сколь угодно малого положительного числа
найдётся такой номер N, зависящий от , что для всех натуральных чисел выполняется неравенство . Тогда означает,

 

что N такое, что для всех N: . При

этом говорят, что последовательность сходится к числу а.

Приведём некоторые свойства сходящихся последовательностей.

–Если последовательность имеет предел, то он единственен.

–Если последовательность имеет конечный предел, то эта последовательность ограничена.

–Если последовательность возрастает (убывает) и ограничена сверху (снизу), то она имеет конечный предел.

–Если последовательность возрастает (убывает) и не ограничена сверху (снизу), то она имеет бесконечный предел + ¥ (− ¥).

1.2. Числовой ряд. Основные понятия теории числовых рядов:
сходимость, расходимость, сумма ряда. Примеры

Пусть задана бесконечная последовательность чисел R.

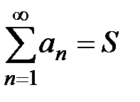
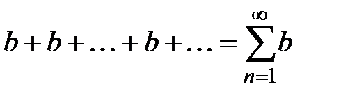
Определение 5. Бесконечным числовым рядом называется выражение вида , обозначаемое как . Числа называются членами (элементами) числового ряда.



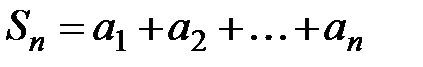
Определение 6. Сумма первых n членов ряда называется n-й частичной суммой ряда: .Тогда и т.д. Получаем последовательность частичных сумм : .

Таким образом, каждому числовому ряду можно поставить в соответствие последовательность частичных сумм : .

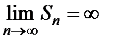
Определение 7. Если существует конечный или бесконечный предел S

последовательности частичных сумм , то он называется суммой ряда , т.е. .

Если S конечно (S < ¥), то ряд называется сходящимся; если S = ¥ или S не существует, то ряд называется расходящимся и суммы ряд не имеет.

Итак, если дан ряд, то всегда можно поставить вопрос, сходится ли он (иными словами, существует ли конечный предел ) или расходится?

Приведём примеры исследования ряда на сходимость и нахождения его суммы.

Пример 1. Исследовать на сходимость ряд и найти его сумму.

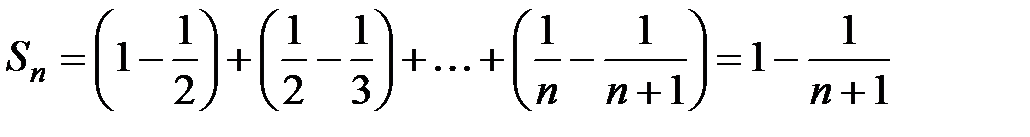
Решение. Обозначим − общий член ряда. Тогда частичная сумма ряда . Так как , то . Тогда , т.е. ряд сходится и его сумма S = 1.

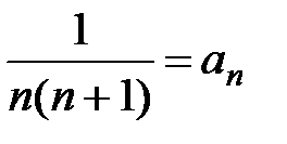
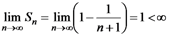
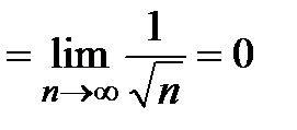
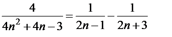
Пример 2. Исследовать на сходимость ряд и найти его сумму.

Решение. Обозначим − общий член ряда. Тогда,
частичная сумма ряда . Так как

, то


, тогда , т.е. ряд сходится и его сумма .

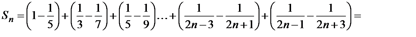
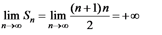
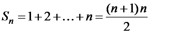
Пример 3. Исследовать на сходимость ряд .

Решение. Обозначим общий член ряда . Тогда, частичная сумма ряда , , т.е. сумма ряда и ряд расходится.

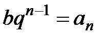
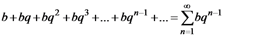
Пример 4. Исследовать на сходимость ряд, составленный из членов геометрической прогрессии.

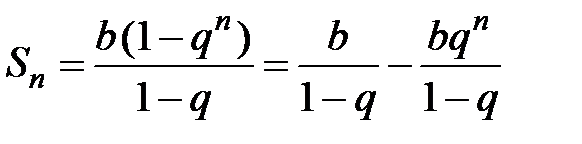
Решение. Пусть дана геометрическая прогрессия, где q − знаменатель прогрессии. Ряд называется рядом геометрической прогрессии. Обозначим − общий член ряда. При n- частичная сумма этого ряда равна

.

Рассмотрим частные случаи.

–Если , то , т.е. ряд сходится.

 

–Если , то не существует, т.е. последовательность

расходится, а значит расходится и исследуемый ряд геометрической

прогрессии.

–При ряд имеет вид . Тогда , , т.е. ряд расходится.

–При , ряд имеет вид , тогда , т.е. предела последовательности не существует, а значит, искомый ряд расходится.

Таким образом, ряд геометрической прогрессии сходится тогда и только тогда, когда , в остальных случаях ряд расходится.

1.3. Основные свойства сходящихся рядов,
необходимый признак сходимости

Пусть дан числовой ряд . Сформулируем его основные свойства.

Свойство 1. Если сходится ряд, полученный из данного ряда отбрасыванием или присоединением конечного числа членов, то сходится и сам данный ряд, и наоборот. Иными словами, отбрасывание или
присоединение конечного числа членов ряда не влияет на сходимость ряда.

Доказательство. Пусть – частичная сумма ряда , – сумма отброшенных членов и – сумма членов ряда, входящих в сумму и не входящих в сумму Ck. При достаточно большом n все отброшенные члены будут содержаться в сумме , т.е. (k – фиксированное число, – const). Тогда, если существует , то существует и , т.е. исходный ряд сходится. И наоборот, если существует , то существует и , т.е. сходится составленный ряд. Аналогично доказывается сходимость при добавлении к ряду конечного числа членов.

Свойство 2. Если сходится ряд , то ряд (С – константа) также сходится, причём его сумма равна .

Доказательство. Пусть – частичная сумма ряда , , и − частичная сумма ряда , . Тогда .

Отсюда, если существует (ряд сходится), то существует , т.е. ряд также сходится.

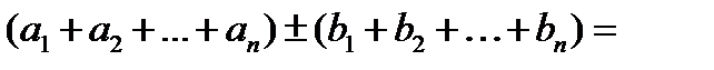
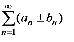
Свойство 3. Если ряды и сходятся и их суммы равны A и B соответственно, то их можно почленно складывать (или вычитать), причём ряды также сходятся и их суммы равны .

Доказательство. Пусть , и – частичные суммы этих рядов, тогда

. Переходя к пределу при , получим

Теорема 1 (необходимый признак сходимости рядов). Пусть ряд

сходится, тогда его общий член стремится к 0 (при )

(обратное не всегда верно).

Доказательство. Так как ряд сходится и его сумма равна S, то для его частичных сумм имеют место равенства ; . Что и требовалось доказать.

Условие сходимости, сформулированное в теореме 1, является необходимым, но не достаточным, т.е. при выполнении условия ряд может расходиться. Рассмотрим пример такого ряда: , где − общий член ряда. Тогда . Частичная сумма ряда имеет вид . Очевидно, каждый член этой суммы , тогда оценка даёт неравенство: , следовательно, , т.е. исходный ряд расходится, хотя .

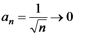
Следствие из теоремы 1. Если общий член ряда аn (при ) не стремится к 0, то ряд расходится (достаточный признак расходимости ряда).

 

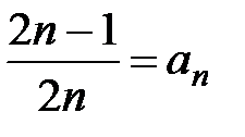
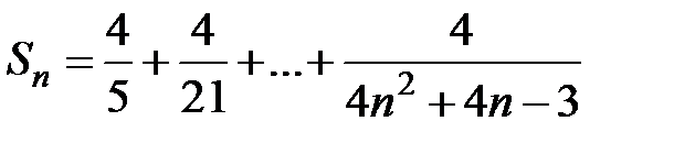
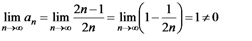
Пример 5. Исследовать на сходимость ряд .

Решение. Обозначим общий член ряда . Так как , то из следствия теоремы 1

следует, что ряд расходится.

Пример 6. Исследовать на сходимость ряд

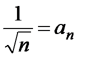
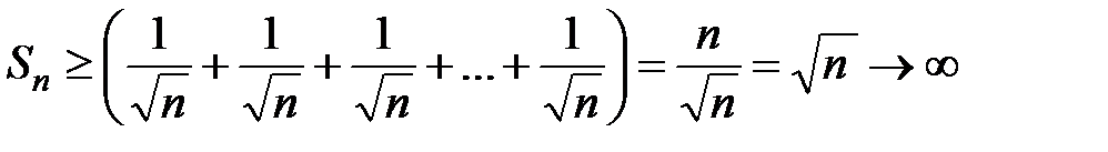
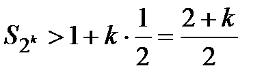
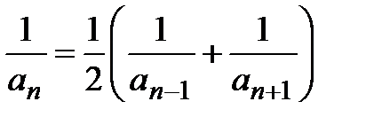
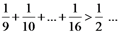
Решение. Общий член ряда имеет вид . Данный ряд называется гармоническим, так как каждый его член равен среднему гармоническому двух соседних: . Очевидно неравенство: . Члены гармонического ряда, начиная с третьего, объединим в группы по 2, 4, 8, 16, …, 2k-1 членов в каждой группе. Очевидно, сумма каждой группы можно оценить следующим образом: ; ; , т.е.
каждая из этих сумм в отдельности больше . Таким образом, для частичных сумм с номерами выполняются неравенства: ,
, …,
,т.е. частичные суммы гармонического ряда неограниченно растут с увеличением при , значит, . Получаем, что гармонический ряд расходится.

 



<== предыдущая лекция | следующая лекция ==>
Лекция 1. Числовой ряд. Основные понятия, свойства сходящихся рядов. Знакоположительные ряды. Интегральный признак Коши | Знакопостоянные ряды, ряды с положительными членами


Карта сайта Карта сайта укр


Уроки php mysql Программирование

Онлайн система счисления Калькулятор онлайн обычный Инженерный калькулятор онлайн Замена русских букв на английские для вебмастеров Замена русских букв на английские

Аппаратное и программное обеспечение Графика и компьютерная сфера Интегрированная геоинформационная система Интернет Компьютер Комплектующие компьютера Лекции Методы и средства измерений неэлектрических величин Обслуживание компьютерных и периферийных устройств Операционные системы Параллельное программирование Проектирование электронных средств Периферийные устройства Полезные ресурсы для программистов Программы для программистов Статьи для программистов Cтруктура и организация данных


 


Не нашли то, что искали? Google вам в помощь!

 
 

© life-prog.ru При использовании материалов прямая ссылка на сайт обязательна.

Генерация страницы за: 0.382 сек.