русс | укр

Языки программирования

ПаскальСиАссемблерJavaMatlabPhpHtmlJavaScriptCSSC#DelphiТурбо Пролог

Компьютерные сетиСистемное программное обеспечениеИнформационные технологииПрограммирование

Все о программировании


Linux Unix Алгоритмические языки Аналоговые и гибридные вычислительные устройства Архитектура микроконтроллеров Введение в разработку распределенных информационных систем Введение в численные методы Дискретная математика Информационное обслуживание пользователей Информация и моделирование в управлении производством Компьютерная графика Математическое и компьютерное моделирование Моделирование Нейрокомпьютеры Проектирование программ диагностики компьютерных систем и сетей Проектирование системных программ Системы счисления Теория статистики Теория оптимизации Уроки AutoCAD 3D Уроки базы данных Access Уроки Orcad Цифровые автоматы Шпаргалки по компьютеру Шпаргалки по программированию Экспертные системы Элементы теории информации

Уравнения Колмогорова


Дата добавления: 2015-08-06; просмотров: 2642; Нарушение авторских прав


Уравнения Колмогорова составляют основу аналитических моделей СМО. Их можно получить следующим образом.

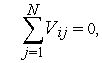
Изменение вероятности нахождения системы в состоянии за время есть вероятность перехода системы в состояние из любых других состояний за вычетом вероятности перехода из состояния в другие состояния за время , т.е.

(1)

где ( ) и ( ) — вероятности нахождения системы в состояниях и соответственно в момент времени ; произведение вида есть безусловная вероятность перехода из в , равная условной вероятности перехода, умноженной на вероятность условия; и — множества индексов инцидентных вершин по отношению к вершине по входящим и исходящим дугам на графе состояний соответственно.

Разделив выражение (1) на и перейдя к пределу при , получим

откуда следуют уравнения Колмогорова

В стационарном состоянии и уравнения Колмогорова составляют систему алгебраических уравнений, в которой -й узел представлен уравнением

(2)

Прибавляя к левой и правой частям уравнения (2) и учитывая что получаем т.е.

где — финальные вероятности.

Пример аналитической модели

Примером СМО, к которой можно применить аналитические методы исследования, является одноканальная СМО с простейшим входным потоком интенсивностью и длительностью обслуживания, подчиняющейся экспоненциальному закону обслуживания интенсивностью . Для этой СМО нужно получить аналитические зависимости среднего числа заявок, находящихся в системе, среднюю длину очереди к ОА, время пребывания заявки в системе, время ожидания в очереди.

На рис. 1 представлен граф состояний рассматриваемой СМО, где — состояние с заявками в системе. Матрица интенсивностей представлена в табл. 1. Уравнения Колмогорова для установившегося режима имеют вид:

и т.д.

Рис. 1. Пример СМО



Таблица 1

Состояние ...
...
...
...
...
...
... ... ... ... ... ... ...

 

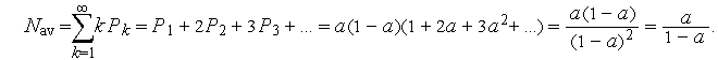
Используя уравнения Колмогорова, можно выразить все через . Получим

и т.д.

Здесь введено обозначение . Отметим также, что установившийся режим возможен только при .

Так как то

Теперь нетрудно получить и остальные требуемые результаты:

Времена пребывания в системе и очереди находятся из соотношений:

которые называют формулами Литтла:



<== предыдущая лекция | следующая лекция ==>
Аналитические модели СМО | Модель многоканальной СМО с отказами


Карта сайта Карта сайта укр


Уроки php mysql Программирование

Онлайн система счисления Калькулятор онлайн обычный Инженерный калькулятор онлайн Замена русских букв на английские для вебмастеров Замена русских букв на английские

Аппаратное и программное обеспечение Графика и компьютерная сфера Интегрированная геоинформационная система Интернет Компьютер Комплектующие компьютера Лекции Методы и средства измерений неэлектрических величин Обслуживание компьютерных и периферийных устройств Операционные системы Параллельное программирование Проектирование электронных средств Периферийные устройства Полезные ресурсы для программистов Программы для программистов Статьи для программистов Cтруктура и организация данных


 


Не нашли то, что искали? Google вам в помощь!

 
 

© life-prog.ru При использовании материалов прямая ссылка на сайт обязательна.

Генерация страницы за: 0.344 сек.