русс | укр

Языки программирования

ПаскальСиАссемблерJavaMatlabPhpHtmlJavaScriptCSSC#DelphiТурбо Пролог

Компьютерные сетиСистемное программное обеспечениеИнформационные технологииПрограммирование

Все о программировании


Linux Unix Алгоритмические языки Аналоговые и гибридные вычислительные устройства Архитектура микроконтроллеров Введение в разработку распределенных информационных систем Введение в численные методы Дискретная математика Информационное обслуживание пользователей Информация и моделирование в управлении производством Компьютерная графика Математическое и компьютерное моделирование Моделирование Нейрокомпьютеры Проектирование программ диагностики компьютерных систем и сетей Проектирование системных программ Системы счисления Теория статистики Теория оптимизации Уроки AutoCAD 3D Уроки базы данных Access Уроки Orcad Цифровые автоматы Шпаргалки по компьютеру Шпаргалки по программированию Экспертные системы Элементы теории информации

Алгоритм численного интегрирования систем дифференциальных уравнений


Дата добавления: 2015-08-06; просмотров: 639; Нарушение авторских прав


Одна из удачных реализаций неявного метода второго порядка, которую можно считать модификацией метода трапеций, основана на комбинированном использовании явной и неявной формул Эйлера. Рассмотрим вопрос, почему такое комбинирование снижает погрешность и приводит к повышению порядка метода.

Предварительно отметим, что в методах -го порядка локальная погрешность, т.е. погрешность, допущенная на одном -м шаге интегрирования, оценивается старшим из отбрасываемых членов

в разложении решения в ряд Тейлора, где — постоянный коэффициент, зависящий от метода, — норма вектора -х производных , которая оценивается с помощью конечно-разностной аппроксимации, — значение времени внутри шага.

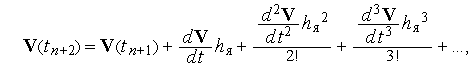
Если -й шаг интегрирования в комбинированном методе был неявным, т.е. выполненным по неявной формуле, то следующий шаг с тем же значением должен быть явным. Используя разложение решения в ряд Тейлора в окрестностях точки , получаем для -го неявного шага

(1)

и для -го явного шага

(2)

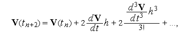
где и — величины неявного и явного шагов, а значения производных относятся к моменту . Подставляя (1) в (2), при получаем:

(3)

т.е. погрешности, обусловливаемые квадратичными членами в (1) и (2) взаимно компенсируются, и старшим из отбрасываемых членов становится член с . Следовательно, изложенное комбинирование неявной и явной формул Эйлера дает метод интегрирования второго порядка.

Неявные методы и, в частности, рассмотренный комбинированный метод целесообразно использовать только при переменной величине шага. Действительно, при заметных скоростях изменения фазовых переменных погрешность остается в допустимых пределах только при малых шагах, в квазистатических режимах шаг может быть во много раз больше.

Алгоритмы автоматического выбора шага основаны на сравнении допущенной и допустимой локальных погрешностей. Например, вводится некоторый диапазон (коридор) погрешностей , в пределах которого шаг сохраняется неизменным. Если же допущенная погрешность превышает верхнюю границу диапазона, то шаг уменьшается, если же выходит за нижнюю границу, то шаг увеличивается.





<== предыдущая лекция | следующая лекция ==>
Примечание 1 | Методы решения систем нелинейных алгебраических уравнений


Карта сайта Карта сайта укр


Уроки php mysql Программирование

Онлайн система счисления Калькулятор онлайн обычный Инженерный калькулятор онлайн Замена русских букв на английские для вебмастеров Замена русских букв на английские

Аппаратное и программное обеспечение Графика и компьютерная сфера Интегрированная геоинформационная система Интернет Компьютер Комплектующие компьютера Лекции Методы и средства измерений неэлектрических величин Обслуживание компьютерных и периферийных устройств Операционные системы Параллельное программирование Проектирование электронных средств Периферийные устройства Полезные ресурсы для программистов Программы для программистов Статьи для программистов Cтруктура и организация данных


 


Не нашли то, что искали? Google вам в помощь!

 
 

© life-prog.ru При использовании материалов прямая ссылка на сайт обязательна.

Генерация страницы за: 0.071 сек.