Эти функции обычно возникают как решения для волнового уравнения, подчиненного цилиндрическим граничным условиям.
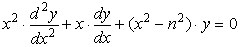
Функции Бесселя первого и второго рода, Jn(x) и Yn(x), являются решениями для дифференциального уравнения

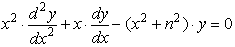
Модифицированные функции Бесселя первого и второго рода, In(x) и Kn(x), являются решениями для немного видоизмененного уравнения:

| J0(x)
| Возвращает J0(x); x вещественный.
| | J1(x)
| Возвращает J1(x); x вещественный.
| | Jn(m, x)
| Возвращает Jn(x); x вещественный, 0 m 100.
| | Y0(x)
| Возвращает Y0(x); x вещественный, x > 0.
| | Y1(x)
| Возвращает Y1(x); x вещественный, x > 0.
| | Yn(m, x)
| Возвращает Yn(x). x > 0, 0 m 100
| | I0(x)
| Возвращает I0(x); x вещественный.
| | I1(x)
| Возвращает I1(x); x вещественный.
| | In(m, x)
| Возвращает In(x); x вещественный, 0 m 100.
| | K0(x)
| Возвращает K0(x); x вещественный, x > 0.
| | K1(x)
| Возвращает K1(x); x вещественный, x > 0.
| | Kn(m, x)
| Возвращает Kn(x). x > 0, 0 m 100
|
|