Предположим, что в уравнении
и
являются функциями независимых переменных
и
:
. В этом случае говорят, что
есть сложная функция от аргументов
и
.
Если функции
имеют непрерывные частные производные по всем своим аргументам, то частные производные сложной функции вычисляются по формулам:


Полный дифференциал 1-го порядка сложной функции, свойство инвариантности. Дифференциал сложной функции порядка выше 1-го, нарушение свойства инвариантности.
Если функция z=f(U,V) дифференцируема, то выражение
называется полным дифференциалом функции z.
Данный дифференциал не зависит от того, будут ли U и V независимыми переменными или сами будут являться функциями других переменных (свойство инвариантности)
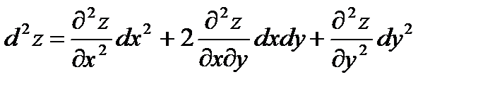
Пусть дана функция z=f(x,y). Ее дифференциал второго порядка имеет вид:
. Это будет действовать в случае непрерывности частных производных. Аналогично можно представить дифференциалы 3-го и т.д. порядков.
Дифференциал высшего порядка не инвариантен, то есть выражение
зависит, вообще говоря, от того, рассматривается ли переменные как независимые, либо как некоторые промежуточные функции других переменных.
10. Производные неявно заданной функции 1-ой переменной и 2-х переменных.
Опр. Если некоторая функция
задана равенством
, то ее называют неявной функцией 1-ой переменной.
Производную неявно заданной функции 1-й переменной можно найти с использованием понятия частной производной функции двух переменных. 
Опр. Если некоторая функция f(x,y) задана равенством F(x,y.z)=0, то ее называют неявной функцией 2-х переменных.
Частные производные неявной функции 2-х переменных вычисляются по формулам:
