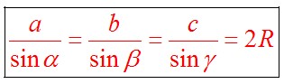
Стороны треугольника пропорциональны синусам противолежащих углов.

где R - радиус описанной окружности.
Теорема косинусов
Теорема. Квадрат стороны треугольника равен сумме квадратов двух других сторон минус удвоенное произведение этих сторон на косинус угла между ними.

Решить треугольник - значит найти все его шесть элементов: три стороны и три угла.