Теорема. Площадь треугольника равна половине произведения его основания на высоту, проведенную к основанию.

Следствие. Площадь прямоугольного треугольника равна половине произведения его катетов.
Следствие. Если высоты двух треугольников равны, то их площади относятся как основания.
Теорема. Если угол одного треугольника равен углу другого треугольника, то площади этих треугольников относятся как произведения сторон, заключающих равные углы.
Теорема. Площадь треугольника равна половине произведения двух его сторон на синус угла между ними.

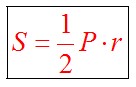
Площадь треугольника равна половине произведения его периметра Р на радиус r вписанной в него окружности:

Площадь треугольника равна произведению длин его сторон, деленному на учетверенный радиус R описанной около него окружности:

Формула Герона: если a, b, c - длины сторон треугольника, а p - его полупериметр, то площадь треугольника:
