Длина высоты треугольника АВС, проведенной из вершины А определяется по формуле:

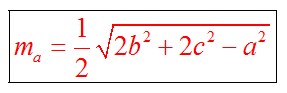
Длина медианы треугольника АВС, проведенной из вершины А определяется по формуле:

Длина биссектрисы треугольника АВС, проведенной из вершины А определяется по формуле:

Если a1, a2 являются длинами отрезков, на которые биссектриса угла А делит сторону ВС, то
