Центр окружности, описанной около прямоугольного треугольника, лежит на середине его гипотенузы.
Радиус описанной около прямоугольного треугольника окружности равен длине медианы, проведенной к гипотенузе.

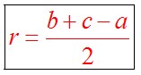
Радиус вписанной в прямоугольный треугольник окружности определяется по формуле:

Математика->Треугольники->площадь треугольника->