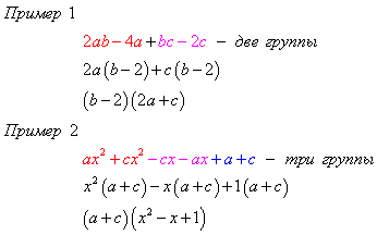
Если члены многочлена не имеют общего множителя, то следует попытаться разложить его методом группировки.
Для этого надо объединить в группы те члены, которые имеют общие множители, и вынести за скобки общий множитель каждой группы. После этого может оказаться общий множитель многочлен у получившихся групп, который выносят за скобки.

Группировать члены многочлена можно по-разному. Не при всякой группировке удастся разложить многочлен на множители.
Математика->Многочлены->формулы сокращенного умножения->