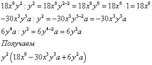
Необходимо проанализировать каждый член многочлена, найти общую часть (если такая имеется). Например, в выражении
каждый член имеет y. Переменную y можно вынести за скобки.
Переменные, входящие в каждый член многочлена выносят за скобки в степенях с наименьшим показателем, который встречается. В примере встречается y2, y5 и y4. Выносим за скобки y2.
Что останется от каждого члена после вынесения общего множителя за скобки? Что записать в скобках? Необходимо каждый член разделить на общий множитель, который выносим за скобки. Например, при вынесении y2 за скобки в нашем примере

Если числовые коэффициенты каждого члена многочлена имеют наибольший общий делитель, то его тоже можно вынести за скобки. В нашем примере НОД(18; 30; 6)=6

Если за скобки выносят множитель "-1" (еще говорят "выносят минус"), то в скобках знак каждого слагаемого меняется на противоположный

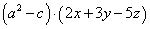
Общим множителем могут быть и многочлены. Например, для выражения
общим множителем является многочлен 
Выносим
за скобки, получим 
Всегда можно проверить верно ли выполнено вынесение общего множителя за скобки. Для этого необходимо выполнить умножение общего множителя на многочлен в скобках и проверить, что полученное выражение полностью совпадает с первоначальным.