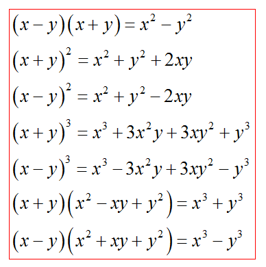
Разложить многочлен на множители бывает возможно только при помощи формул сокращенного умножения

Примеры
1) Формула разности квадратов 

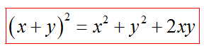
2) Формула квадрата суммы 

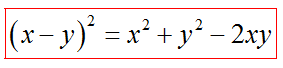
3) Формула квадрата разности 

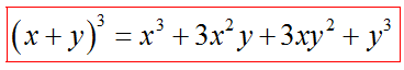
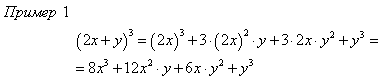
4) Формула куба суммы 

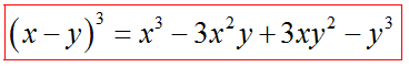
5) Формула куба разности 

6) Формула суммы кубов 

6) Формула разности кубов

Математика->Дроби->