русс | укр

Языки программирования

ПаскальСиАссемблерJavaMatlabPhpHtmlJavaScriptCSSC#DelphiТурбо Пролог

Компьютерные сетиСистемное программное обеспечениеИнформационные технологииПрограммирование

Все о программировании


Linux Unix Алгоритмические языки Аналоговые и гибридные вычислительные устройства Архитектура микроконтроллеров Введение в разработку распределенных информационных систем Введение в численные методы Дискретная математика Информационное обслуживание пользователей Информация и моделирование в управлении производством Компьютерная графика Математическое и компьютерное моделирование Моделирование Нейрокомпьютеры Проектирование программ диагностики компьютерных систем и сетей Проектирование системных программ Системы счисления Теория статистики Теория оптимизации Уроки AutoCAD 3D Уроки базы данных Access Уроки Orcad Цифровые автоматы Шпаргалки по компьютеру Шпаргалки по программированию Экспертные системы Элементы теории информации

ХОД РАБОТЫ


Дата добавления: 2015-06-12; просмотров: 611; Нарушение авторских прав


1. Для каждого из двух уравнений, заданных в варианте задания, определил аналитически и графически отрезок, содержащий корень уравнения.

Даны уравнения:

1)

2)

 

Обозначим Тогда

Так как при любом значении x, непрерывная функция и то в промежутке (0; 1) содержится корень первого уравнения. Это также видно из графика функции (рис. 1).

Рис.1. График функции f(x)

 

 

Обозначим Тогда Так как при любом значении x, непрерывная функция и то в промежутке (-1; 1) содержится корень второго уравнения. Это также видно из графика функции (рис. 2).

Рис. 2.График функции g(x)

 

Таким образом начальный интервал для первого уравнения (0; 1), для второго уравнения (-1; 1) .

 

2. Вручную уточнил значение каждого корня, выполнив две итерации.

Результаты представлены в таблицах 1 и 2.

 

Номер итерации a b c f(a) f(b) f(c)
0.5 0.5 -1.00111 -0.14601
0.5 0.25 0.5 -0.14601 0.198714
0.25 0.5        

 

Таблица 1. Уточнение интервала содержащего корень первого уравнения методом половинного деления.

 

 

Номер итерации a b c g(a) g(b) g(c)
-1 -2
0.5 -2 -0.875
0.5        

 

Таблица 2. Уточнение интервала содержащего корень для второго уравнения методом половинного деления.

 

Новые интервалы равны (0.25; 0.5) и (0, 0.5) для первого и второго уравнений соответственно.



 

 

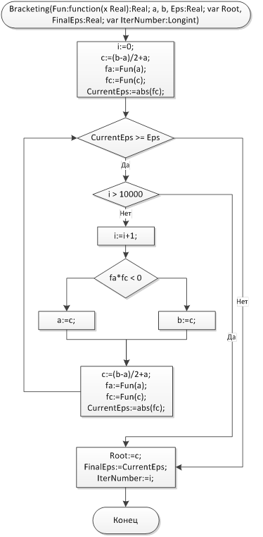
3. Составил блок-схему и программу-процедуру для нахождения корня каждого уравнения методом половинного деления и методом Ньютона с точностью = 0,001. Функции Fun1, DFun1 и DDFun1 реализуют вычисления соответственно для функций и . А функции Fun2, DFun2 и DDFun2 реализуют вычисление и . Процедура Bracketing реализует метод половинного деления, а процедура Newton реализует метод Ньютона.

 

Рис. 3. Блок-схемы функций для вычисления и

 

Рис. 4. Блок-схемы функций для вычисления и

 

 

Рис. 5.Блок-схема алгоритма нахождения корня уравнения методом половинного деления

 

 

Рис. 6.Блок-схема алгоритма нахождения корня уравнения методом Ньютона

 

 

4. С помощью составленной программы вывел на экран и в файл приближенное значение корня каждого уравнения, вид уравнения, точность, число итераций. Блок-схема программы приведена на рисунке 7. Текст программы содержится в файле lab7.pas.

 

 

Рис. 7. Блок-схема программы



<== предыдущая лекция | следующая лекция ==>
Метод Ньютона (касательных) | КРАТКИЕ ТЕОРЕТИЧЕСКИЕ СВЕДЕНИЯ


Карта сайта Карта сайта укр


Уроки php mysql Программирование

Онлайн система счисления Калькулятор онлайн обычный Инженерный калькулятор онлайн Замена русских букв на английские для вебмастеров Замена русских букв на английские

Аппаратное и программное обеспечение Графика и компьютерная сфера Интегрированная геоинформационная система Интернет Компьютер Комплектующие компьютера Лекции Методы и средства измерений неэлектрических величин Обслуживание компьютерных и периферийных устройств Операционные системы Параллельное программирование Проектирование электронных средств Периферийные устройства Полезные ресурсы для программистов Программы для программистов Статьи для программистов Cтруктура и организация данных


 


Не нашли то, что искали? Google вам в помощь!

 
 

© life-prog.ru При использовании материалов прямая ссылка на сайт обязательна.

Генерация страницы за: 3.91 сек.