русс | укр

Языки программирования

ПаскальСиАссемблерJavaMatlabPhpHtmlJavaScriptCSSC#DelphiТурбо Пролог

Компьютерные сетиСистемное программное обеспечениеИнформационные технологииПрограммирование

Все о программировании


Linux Unix Алгоритмические языки Аналоговые и гибридные вычислительные устройства Архитектура микроконтроллеров Введение в разработку распределенных информационных систем Введение в численные методы Дискретная математика Информационное обслуживание пользователей Информация и моделирование в управлении производством Компьютерная графика Математическое и компьютерное моделирование Моделирование Нейрокомпьютеры Проектирование программ диагностики компьютерных систем и сетей Проектирование системных программ Системы счисления Теория статистики Теория оптимизации Уроки AutoCAD 3D Уроки базы данных Access Уроки Orcad Цифровые автоматы Шпаргалки по компьютеру Шпаргалки по программированию Экспертные системы Элементы теории информации

Метод Эйлера


Дата добавления: 2014-11-28; просмотров: 5262; Нарушение авторских прав


 

Решим задачу Коши для дифференциального уравнения первого порядка y’= f(x,y) методом Эйлера.

 

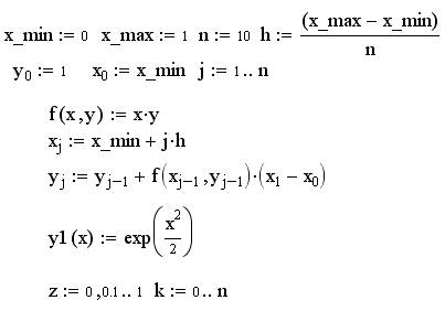
Пусть правая часть уравнения равна f(x,y)=x*y

1. Зададим границы изменения x: x_min=0, x_max=1

2. Зададим число точек и величину шага: n=10, h=(x_max-x_min)/n

3. Зададим начальные условия: y0= 1 x0 = x_min

4. Вычислим x и y по формулам Эйлера j=1..n

 

 

Представим результат графически и сравним его с аналитическим решением y1(x)=exp(x^2/2), при z=0..1 с шагом 0.1, k=0..n

Реализация метода на MathCAD:

 

Точное аналитическое решение и решение, полученное численно, отличаются в точке x=1 на y1(1) – yn =0.062

То есть относительная ошибка составляет 0.062%, с увеличением количества шагов n, она снижается, так при n = 50, относительная ошибка (погрешность) будет равна 0.013%.

 

Варианты заданий:

 

Произвести вычисление на MathCAD’е в соответствие с вышеуказанным решением по методу Эйлера, узнать относительную погрешность, изменяя параметры:

 

  1. x_min=0.1, x_max=1, n=20, y0 =0.9
  2. x_min=0, x_max=0.99, n=18, y0 =1
  3. x_min=0.2, x_max=1, n=29, y0 =1.9
  4. x_min=0, x_max=1.1, n=40, y0 =1
  5. x_min=0.3, x_max=1.2, n=50, y0 =1/3
  6. x_min=0.4, x_max=1, n=60, y0 =1/9
  7. x_min=0.2, x_max=1, n=70, y0 =1/2
  8. x_min=0.1, x_max=1, n=30, y0 =1/6
  9. x_min=0, x_max=0.9, n=90, y0 =1/2
  10. x_min=0.01, x_max=1, n=39, y0 =3/4
  11. x_min=0.02, x_max=1, n=74, y0 =1/8
  12. x_min=0.03, x_max=1, n=11, y0 =0.43
  13. x_min=0.04, x_max=1, n=9, y0 =0.98
  14. x_min=0.05, x_max=0.8, n=65, y0 =0.5
  15. x_min=0.09, x_max=0.09, n=19, y0 =0.3
  16. x_min=0.08, x_max=0.9, n=99, y0 =0.8
  17. x_min=0.07, x_max=0.99, n=19, y0 =0.6
  18. x_min=0.45, x_max=0.69, n=10, y0 =0.53
  19. x_min=0.19, x_max=0.29, n=47, y0 =0.12
  20. x_min=0.69, x_max=0.19, n=9, y0 =0.2

 

 

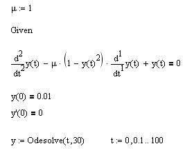
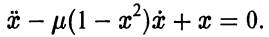
6. Нелинейный осциллятор Ван дер Поля



 

 

Уравнение Ван дер Поля описывает свободные автоколебания одной из простейших нелинейных колебательных систем (осциллятора Ван дер Поля). В частности, уравнение служит математической моделью (при ряде упрощающих предположений) лампового генератора на триоде в случае кубической характеристики лампы. Характер решений уравнения был впервые подробно изучен Ван дер Полем.

 

При μ< 1 в системе возникают квазигармонические автоколебания:

 

при μ ~1 — сильно несинусоидальные колебания:

 

 

 

при μ > 1 — релаксационные колебания:

 

 

Независимо от начальных условий все фазовые траектории стягиваются к предельному

циклу — замкнутой траектории , соответствующей стационарному режиму. В нашем случае автоколебания устанавливаются в системе при любых начальных условиях, в том

числе и при нулевых начальных значениях тока и напряжения. Такой режим возбуждения

автоколебаний называется мягким. Классическая модель нелинейной системы, демонстрирующая периодические автоколебания.

 

При различных начальных условиях фазовая траектория стремится к аттрактору - предельному циклу.

 

Установившиеся движения представляют собой периодические колебания, математическим образом в фазовом пространстве которых и является предельный цикл.

 

Фазовая траектория автоколебаний:

 

Пример фазового портрета автоколебательной системы

 

Реализация уравнения на MathCAD:

Примечание: Для того чтобы вставить греческую букву Мю μ, необходимо открыть вкладку Вид, Панель инструментов, Греческая, и нажать на соответствующую кнопку:

Примечание: Для того чтобы вставить штрих после у нажмите CTRL+F7

 



<== предыдущая лекция | следующая лекция ==>
Решение задачи | Вычислительный блок Given/Odesolve


Карта сайта Карта сайта укр


Уроки php mysql Программирование

Онлайн система счисления Калькулятор онлайн обычный Инженерный калькулятор онлайн Замена русских букв на английские для вебмастеров Замена русских букв на английские

Аппаратное и программное обеспечение Графика и компьютерная сфера Интегрированная геоинформационная система Интернет Компьютер Комплектующие компьютера Лекции Методы и средства измерений неэлектрических величин Обслуживание компьютерных и периферийных устройств Операционные системы Параллельное программирование Проектирование электронных средств Периферийные устройства Полезные ресурсы для программистов Программы для программистов Статьи для программистов Cтруктура и организация данных


 


Не нашли то, что искали? Google вам в помощь!

 
 

© life-prog.ru При использовании материалов прямая ссылка на сайт обязательна.

Генерация страницы за: 0.526 сек.