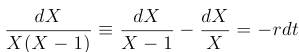
Уравнение (3) можно проинтегрировать методом разделения переменных:

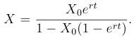
в результате чего получим решение:

Реализации задачи на MathCAD:

Примечание: Для установки переменного значения t, следует открыть вкладку Вид, Панель управления, Матрица и нажать на кнопку «Область переменной»:

Параметр e, в функции X(t, N) – экспонента, для её вставки необходимо открыть вкладку Вид, Панель инструментов, Калькулятор, и нажать кнопку «Экспонента»:
Далее создаём график, следующего вида:

На созданном нами выше, графике, показано изменение относительной численности популяции во времени при различных начальных значениях N0 и r (условие N0 > 1 возможно, если в период времени до начала рассмотрения изменения популяции окружающие условия были более благоприятны для нее).
Варианты заданий:
Произвести вычисление на MathCAD’е, в соответствии с вышеуказанной моделью изменяя начальные параметры:
1. t=0..5, r=2, x0=2, x1=0.6
2. t=0..10, r=2.1, x0=2.5, x1=0.5
3. t=0..7, r=2.5, x0=1.9, x1=0.4
4. t=0..11, r=2.3, x0=1.5, x1=0.7
5. t=0..15, r=1.9, x0=2.1, x1=0.8
6. t=0..20, r=2.2, x0=2.6, x1=0.6
7. t=0..5, r=3, x0=3, x1=0.4
8. t=0..9, r=2, x0=2, x1=0.1
9. t=0..15, r=2.5, x0=3, x1=0.2
10. t=0..10, r=2, x0=2, x1=0.8
11. t=0..6, r=2.1, x0=2, x1=0.3
12. t=0..9, r=2.4, x0=2.2, x1=0.6
13. t=0..20, r=2.2, x0=1.9, x1=0.5
14. t=0..5, r=2.3, x0=2.05, x1=0.7
15. t=0..10, r=2.1, x0=2, x1=0.1
16. t=0..50, r=2.5, x0=3, x1=0.9
17. t=0..3, r=2.3, x0=2.3, x1=0.3
18. t=0..6, r=1.5, x0=2, x1=0.2
19. t=0..4, r=2.5, x0=2, x1=0.3
20. t=0..5, r=2.2, x0=2.2, x1=0.2