русс | укр

Языки программирования

ПаскальСиАссемблерJavaMatlabPhpHtmlJavaScriptCSSC#DelphiТурбо Пролог

Компьютерные сетиСистемное программное обеспечениеИнформационные технологииПрограммирование

Все о программировании


Linux Unix Алгоритмические языки Аналоговые и гибридные вычислительные устройства Архитектура микроконтроллеров Введение в разработку распределенных информационных систем Введение в численные методы Дискретная математика Информационное обслуживание пользователей Информация и моделирование в управлении производством Компьютерная графика Математическое и компьютерное моделирование Моделирование Нейрокомпьютеры Проектирование программ диагностики компьютерных систем и сетей Проектирование системных программ Системы счисления Теория статистики Теория оптимизации Уроки AutoCAD 3D Уроки базы данных Access Уроки Orcad Цифровые автоматы Шпаргалки по компьютеру Шпаргалки по программированию Экспертные системы Элементы теории информации

Вычислительный блок Given/Odesolve


Дата добавления: 2014-11-28; просмотров: 1119; Нарушение авторских прав


Вычислительный блок для решения одного обыкновенного дифференциального уравнения (ОДУ), реализующий численный метод Рунге-Кутты, состоит из трех частей:

- Given — ключевое слово;

- ОДУ и начальное условие, записанное с помощью логических операторов, причем начальное условие должно быть в форме у (t1) = b;

- odesoive(t, t1) — встроенная функция для решения ОДУ относительно переменной t на интервале (t0,t1).

 

Для вызова функции Odesolveнужно открыть вкладку Добавить, Функцию, в появившимся окне в разделе Категории функций выберите Решение диф. уравнений, а в разделе Имя функции кликните на Odesolve, и нажмите кнопку ОК.

 

Далее создайте график, и приведите его к следующему виду:

 

 

Если компьютер у вас не самый мощный, то расчет изображенного выше, фазового портрета в MathCAD может занять относительно продолжительное время, что связано с численным определением сначала решения у(t), а потом и его производной.

Неизвестная функция времени y(t) имеет смысл электрического тока, а в параметре μ заложены количественные соотношения между составляющими электрической цепи, в том числе и нелинейной компонентой сопротивления.

 

 

Варианты заданий:

 

Произвести вычисление на MathCAD’е в соответствии с вышеуказанной реализацией решения, получить фазовый портрет, изменяя следующие параметры:

  1. y(0) = 0.02, μ =1.2, y’=0.05
  2. y(0) = 0.22, μ =1.4, y’=0.06
  3. y(0) = 0.32, μ =1.8, y’=0.07
  4. y(0) = 0.42, μ =2.4 , y’=0.08
  5. y(0) = 0.52, μ =2.6, y’=0.09
  6. y(0) = 0.62, μ =2.8, y’=0.1
  7. y(0) = 0.72, μ =2.9, y’=0.15
  8. y(0) = 0.82, μ =0.02, y’=0.17
  9. y(0) = 0.92, μ =0.2, y’=0.18
  10. y(0) = 1.02, μ =0.5 , y’=0.2
  11. y(0) = 3.02, μ =1.2, y’=0.25
  12. y(0) = 2.32, μ =0.09, y’=0.35
  13. y(0) = 1.32, μ =2.03, y’=0.45
  14. y(0) = 0.02, μ =0.05, y’=0.55
  15. y(0) = 0.09, μ =1.2, y’=0.65
  16. y(0) = 0.12, μ =1.2, y’=0.75
  17. y(0) = 2.02, μ =1.2, y’=0.75
  18. y(0) = 3.02, μ =2.09, y’=0.8
  19. y(0) = 2.52, μ =0.2, y’=0.95
  20. y(0) = 1.22, μ =0.04, y’=0.005

 



1. Аттрактор Лоренца

 

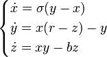
Аттрактор Лоренца (от англ. to attract — притягивать) ― компактное инвариантное множество L трехмерном фазовом пространстве гладкого потока, которое имеет определённую сложную топологическую структуру и является асимптотически устойчивым, оно устойчиво по Ляпунову и все траектории из некоторой окрестности L стремятся к L при t → ∞.

 

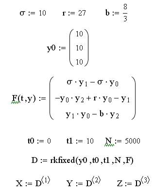
Аттрактор Лоренца был найден в численных экспериментах Лоренца, исследовавшего поведение траекторий нелинейной системы:

 

 

 

при следующих значениях параметров: σ=10, r=28, b=8/3. Эта система вначале была введена как первое нетривиальное галёркинское приближение для задачи о конвекции морской воды в плоском слое, чем и мотивировался выбор значений σ, rи b, но она возникает также и в других физических вопросах и моделях:

 

- конвекция в замкнутой петле;

- вращение водяного колеса;

- модель одномодового лазера;

- диссипативный осциллятор с инерционной нелинейностью.

 

Модель Лоренца является реальным физическим примером динамических систем с хаотическим поведением, в отличие от различных искусственно сконструированных отображений («зуб пилы», «тент», преобразование пекаря, отображение Фейгенбаума и др.).

 

Реализация аттрактора на MathCAD:

Поскольку неизвестных функций три, то фазовый портрет системы должен определяться не на плоскости, а в трехмерном пространстве.

 

 

Примечание: Функция rkfixed можно вызвать открыв вкладку Добавить, Функцию, и в появившимся окне, в правом списке окна выбрать rkfixed.

 

Примечание: Для того чтобы получить объемный график необходимо открыть вкладку Вид, Панель инструментов, Графики, и нажать кнопку «График плоскости» на панели:

 

 

В появившейся пустой заготовки, напротив синего курсора ввести: (X,Y,Z), и нажать на пустое место в рабочей области. У вас должно получится следующее:

 

 

 

Далее необходимо настроить вид графика. Для этого дважды щелкните левой кнопкой мыши по графику, появится окно Формат 3D графика:

 

 

Далее во вкладке График 1, выбираем параметр График разброса:

 

 

Затем окрываем вкладку Вид, с в разделе Настройка цвета выбираем параметр Карта цветов, и нажимаем кнопку ОК:

 

 

 

В результате у вас должен получится подобный график:

 

 

 

Примечание: Если навести на него курсор и зажать левую кнопку мыши можно разглядывать график с разных сторон, а зажав клавишу Ctrl и крутя колесико мыши, можно увеличивать и уменьшать масштаб графика, для того чтобы лучше его рассмотреть.

 

 

Решением системы Лоренца при определенном сочетании параметров является странный аттрактор (или аттрактор Лоренца) - притягивающее множество траекторий на фазовом пространстве. В некотором смысле, аттрактор Лоренца является стохастическими автоколебаниями, которые поддерживаются в динамической системе за счет внешнего источника. Решение подобных нелинейных динамических систем можно получить только численно, поэтому их изучение стало бурно развиваться с ростом возможностей вычислительной техники в последние полвека.

 

 

Варианты заданий:

 

 

Произвести вычисление на MathCAD’е в соответствии с вышеуказанной реализацией решения, получить фазовый портрет, изменяя следующие параметры:

  1. σ = 10, r =14, b=2.56, N=1100, y0=(10,10,10)
  2. σ = 11, r =15, b=2.4, N=11000, y0=(11,11,11)
  3. σ = 12, r =16, b=2.36, N=10000, y0=(9,9,9)
  4. σ = 13, r =17, b=2.26, N=9100, y0=(12,12,12)
  5. σ = 14, r =18, b=2.1, N=5555, y0=(11,11,11)
  6. σ = 15, r =19, b=2.06, N=100000, y0=(10,10,10)
  7. σ = 9, r =20, b=2, N=106, y0=(10.5,10.5,10.5)
  8. σ = 8, r =21, b=1.96, N=100, y0=(9.3,9.3,9.3)
  9. σ = 7, r =22, b=1.85, N=410, y0=(11.2,11,11.1)
  10. σ = 6, r =23, b=1.7, N=310, y0=(10,10,10)
  11. σ = 5, r =24, b=1.6, N=510, y0=(9,9,9.1)
  12. σ = 4, r =25, b=1.55, N=700, y0=(12.5,12,12)
  13. σ = 3, r =13, b=1.44, N=800, y0=(10.1,10.2,10.3)
  14. σ = 2, r =12, b=1.26, N=850, y0=(13,13,13)
  15. σ = 10, r =25, b=1, N=1990, y0=(-10,-10,-10)
  16. σ = 0, r =10, b=1.9, N=950, y0=(15,15,15)
  17. σ = 1.6, r =9, b=2.7, N=9100, y0=(10,10,10)
  18. σ = 2.5, r =8, b=2.8, N=9900, y0=(8,8,8)
  19. σ = 3.14, r =7, b=3.96, N=7109, y0=(11,11,11)
  20. σ = 6.66, r =6, b=4.66, N=5100, y0=(14,14,14)

 

 



<== предыдущая лекция | следующая лекция ==>
Метод Эйлера | Моделирование устройства с помощью Simulink.


Карта сайта Карта сайта укр


Уроки php mysql Программирование

Онлайн система счисления Калькулятор онлайн обычный Инженерный калькулятор онлайн Замена русских букв на английские для вебмастеров Замена русских букв на английские

Аппаратное и программное обеспечение Графика и компьютерная сфера Интегрированная геоинформационная система Интернет Компьютер Комплектующие компьютера Лекции Методы и средства измерений неэлектрических величин Обслуживание компьютерных и периферийных устройств Операционные системы Параллельное программирование Проектирование электронных средств Периферийные устройства Полезные ресурсы для программистов Программы для программистов Статьи для программистов Cтруктура и организация данных


 


Не нашли то, что искали? Google вам в помощь!

 
 

© life-prog.ru При использовании материалов прямая ссылка на сайт обязательна.

Генерация страницы за: 0.242 сек.