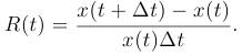
Пусть x(t) – численность популяции в момент времени t. Функцией прироста R(t) называют относительное изменение численности за время ∆t:

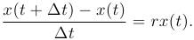
Если эта величина – некоторая константа r, то закон, управля-
ющий динамикой численности популяции в модели Мальтуса, имеет
вид:

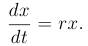
Переходя к пределу при ∆t → 0, получим следующее обыкновенное дифференциаль-ное уравнение (1):

Итак, для решения поставленной задачи необходимо найти решение уравнения (1) при начальном условии (2):
