русс | укр

Языки программирования

ПаскальСиАссемблерJavaMatlabPhpHtmlJavaScriptCSSC#DelphiТурбо Пролог

Компьютерные сетиСистемное программное обеспечениеИнформационные технологииПрограммирование

Все о программировании


Linux Unix Алгоритмические языки Аналоговые и гибридные вычислительные устройства Архитектура микроконтроллеров Введение в разработку распределенных информационных систем Введение в численные методы Дискретная математика Информационное обслуживание пользователей Информация и моделирование в управлении производством Компьютерная графика Математическое и компьютерное моделирование Моделирование Нейрокомпьютеры Проектирование программ диагностики компьютерных систем и сетей Проектирование системных программ Системы счисления Теория статистики Теория оптимизации Уроки AutoCAD 3D Уроки базы данных Access Уроки Orcad Цифровые автоматы Шпаргалки по компьютеру Шпаргалки по программированию Экспертные системы Элементы теории информации

Метод Эйлера


Дата добавления: 2014-11-28; просмотров: 2891; Нарушение авторских прав


 

Основная операция, используемая при моделировании динамических систем – это решение систем обыкновенных дифференциальных уравнений (ОДУ). При аналоговом моделировании решение обыкновенных дифференциальных уравнений осуществляется аппаратными техническими средствами, при цифровом моделировании на ЭВМ – программными средствами.

Цифровое моделирование основано на приближённой замене дифференциальных уравнений, описывающих системы, разностными уравнениями с достаточно малым шагом дискретизации по времени.

Любая система нелинейных ОДУ может быть представлена как система дифференциальных уравнений 1-го порядка в явной форме Коши:

 

, (2.32)

где у - вектор состояния; - время; - известная функция времени, дифференцируемая в окрестности точки .

Функция может быть описана рядом Тейлора:

Точность численного решения определяется числом учитываемых членов в этом ряде. Самый простой метод приближённого решения (интегрирования) дифференциальных уравнений – метод Эйлера – заключается в том, что для вычисления приближённых значений решения в точках

( - шаг дискретизации)

каждое очередное значение искомого решения на i-ом шаге представляют в виде ряда Тейлора, ограничиваясь первыми двумя членами разложения в ряд:

(2.33)

где .

Приближённое равенство (2.33) называют разностным уравнением, эквивалентным (с погрешностью дискретизации) исходному дифференциальному уравнению (2.32). Разностные уравнения это уравнения, которые в явной форме выражают текущие значения искомого решения через его предыдущие значения Процедура последовательного решения уравнения (2.32), в соответствии с алгоритмом (2.33), называется рекуррентной.

Решение обыкновенных дифференциальных уравнений методом Эйлера дает удовлетворительные по точности результаты только в тех случаях, когда шаг интегрирования достаточно мал по сравнению с темпом изменения функции по времени. Для достижения 5%-ой точности расчётов шаг дискретизации рекомендуется выбирать из соотношения , где наименьшая постоянная времени системы.



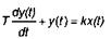
Проиллюстрируем применение метода Эйлера к расчёту переходной характеристики инерционного звена 1-го порядка с передаточной функцией

Передаточной функции апериодического звена соответствует дифференциальное уравнение:

(2.34)

с нулевыми начальными условиями .

Разрешаем уравнение (2.34) относительно старшей производной

и получаем рекуррентный алгоритм вычисления выходной величины y(t):

(2.35)

Для единичного ступенчатое воздействия (2.35) примет вид:

Если передаточная функция имеет второй и более порядок, то,применив один и методов, ее необходимо представить в виде системы дифференциальных уравнений первого порядка.

Алгоритм Эйлера можно описать следующим образом:

1. Определение значений производных на шаге;

2. Расчет следующего значений функции ;

3. Переход к следующему моменту времени .

4. Проверка на достижение конечного момента времени.

Ошибка метода имеет порядок .

 



<== предыдущая лекция | следующая лекция ==>
Схемы моделирования типовых динамических звеньев | Методы Рунге-Кутты


Карта сайта Карта сайта укр


Уроки php mysql Программирование

Онлайн система счисления Калькулятор онлайн обычный Инженерный калькулятор онлайн Замена русских букв на английские для вебмастеров Замена русских букв на английские

Аппаратное и программное обеспечение Графика и компьютерная сфера Интегрированная геоинформационная система Интернет Компьютер Комплектующие компьютера Лекции Методы и средства измерений неэлектрических величин Обслуживание компьютерных и периферийных устройств Операционные системы Параллельное программирование Проектирование электронных средств Периферийные устройства Полезные ресурсы для программистов Программы для программистов Статьи для программистов Cтруктура и организация данных


 


Не нашли то, что искали? Google вам в помощь!

 
 

© life-prog.ru При использовании материалов прямая ссылка на сайт обязательна.

Генерация страницы за: 0.448 сек.