русс | укр

Языки программирования

ПаскальСиАссемблерJavaMatlabPhpHtmlJavaScriptCSSC#DelphiТурбо Пролог

Компьютерные сетиСистемное программное обеспечениеИнформационные технологииПрограммирование

Все о программировании


Linux Unix Алгоритмические языки Аналоговые и гибридные вычислительные устройства Архитектура микроконтроллеров Введение в разработку распределенных информационных систем Введение в численные методы Дискретная математика Информационное обслуживание пользователей Информация и моделирование в управлении производством Компьютерная графика Математическое и компьютерное моделирование Моделирование Нейрокомпьютеры Проектирование программ диагностики компьютерных систем и сетей Проектирование системных программ Системы счисления Теория статистики Теория оптимизации Уроки AutoCAD 3D Уроки базы данных Access Уроки Orcad Цифровые автоматы Шпаргалки по компьютеру Шпаргалки по программированию Экспертные системы Элементы теории информации

Лекция №5


Дата добавления: 2014-11-28; просмотров: 1350; Нарушение авторских прав


План лекции.

1. Методы решения дифференциальных уравнений.

2. Виды передаточных функций.

 

2.8. Решение дифференциальных уравнений методом вспомогательной переменной.

 

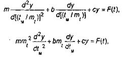
Реализацию этого метода рассмотрим на примере решения приведенного выше (2.9) дифференциального уравнения второго порядка с производными в правой части.

.

Запишем уравнение в операторной форме

(2.15)

и разрешим его относительно .

.

Далее введем вспомогательную переменную равную

.

Эта запись соответствует дифференциальному уравнению

,

откуда

. (2.16)

 

Из (2.15) следует, что

. (2.17)

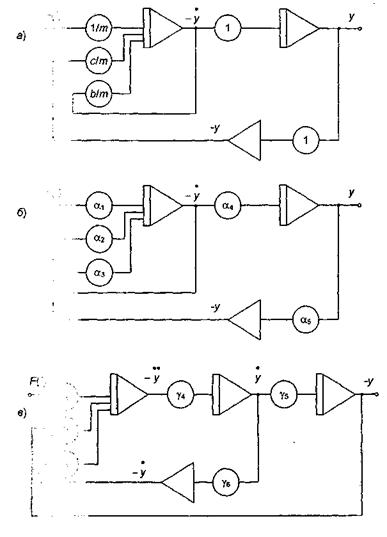
Уравнения (2.16), (2.17) образуют решающую систему.

.

 

Рис. 2.6. Блок-схема решения методом вспомогательной переменной.

 

Достоинство метода вспомогательной переменной в том, что он нагляден, даёт возможность изменять коэффициенты левой и правой частей исходного уравнения (2.10) независимо друг от друга.

 

2.9. Масштабирование переменных.

 

Одним из наиболее важных этапов подготовки задач для решения на АВМ является масштабирование. Переменные исходной задачи могут быть как величинами безразмерными, так и иметь размерность. В ВМ всем исходным переменным ставятся в соответствие машинные переменные. Сущность операции масштабирования представляет переход от переменных исходной математической или физической задачи к их аналогам в ВМ, осуществляемого путем введения масштабов.

 

Масштабирование переменных

Машинные переменные представляются в виде

,

где - масштаб переменной, размерность которой имеет вид

.

Как правило, основанием для выбора масштабов зависимых переменных и возмущений являются соотношения

. (2.18)

Из этого следует, что для выбора масштабов надо знать максимальные значения воздействий и переменных в исходной задаче.



В качестве примера рассмотрим процедуру ввода масштабов зависимых переменных для дифференциального уравнения, описывающего колебательную систему на рис. 2.7.

 

Рис. 2.7. Колебательная система.

 

Система уравнений движения груза имеет вид:

, (2.19)

где – масса груза, – коэффициент вязкого трения, – жесткость пружины, – сила, действующая на груз.

Схема модели приведена на рис. 2.8а.

 

Рис. 2.8. Модель колебательной системы.

 

Вводя масштабы переменных, получим следующую модель системы (рис.2.8в), где машинные коэффициенты имеют вид:

.

Из этого следует, что введение масштабов зависимых переменных не меняет структуры модели, а лишь изменяет машинные коэффициенты.

 

Масштабирование времени

Масштабирование времени - это изменение продолжительности решения задачи на ВМ. Масштаб времени

представляет собой безразмерную величину, характеризующую соотношения скоростей протекания динамических процессов в модели и исходной системе. При говорят, что процесс протекает в натуральном (реальном) масштабе времени, при – в ускоренном времени, при – в замедленном.

Если имеются сведения о времени протекания процесса в исследуемой системе, то масштаб времени определяется из соотношения

,

где – время решения задачи на ВМ.

Если время протекания процесса неизвестно, то масштаб времени можно выбрать из соотношения

,

где и – соответственно свободный член и коэффициент при старшей производной, – порядок дифференциального уравнения.

При моделировании сильноинерционных замкнутых контуров управления, содержащих запаздывающие звенья, в первом приближении (предполагая ), масштаб времени можно выбрать по формуле

,

где – максимальная постоянная времени, – время запаздывания.

Рассмотрим введение масштаба времени для системы уравнений (2.19).

, .

Тогда получим следующее уравнение

.

Таким образом, введение масштаба времени изменяет только машинные коэффициенты при интеграторах.

 

 

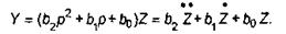
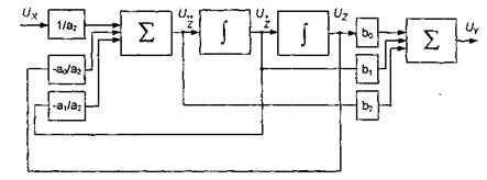
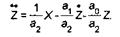
2.10. Моделирование систем, заданных передаточной функцией.

 

2.10.1 Виды передаточной функции.

 

1. Нормальная форма.

.

где W(s) – передаточная функция; B(s) и A(s) – полиномы относительно переменных.

Частный случай.

. (2.20)

Пример.

– усилитель.

- инерционное звено 1-го порядка;

- идеальное интегрирующее звено;

- апериодическое звено 2-го порядка (если действительные корни) и колебательное звено (если комплексные корни).

 

 

2. Каноническая форма.

 

, (2.21)

где – корни характеристического уравнения

.

 

.

 

Пример.

.

 

.

3. Форма простых сомножителей.

 

(2.22)

b – числитель (равен общему коэффициенту передачи).

 



<== предыдущая лекция | следующая лекция ==>
Лекция №4 | Модель в пространстве состояний в нормальной форме


Карта сайта Карта сайта укр


Уроки php mysql Программирование

Онлайн система счисления Калькулятор онлайн обычный Инженерный калькулятор онлайн Замена русских букв на английские для вебмастеров Замена русских букв на английские

Аппаратное и программное обеспечение Графика и компьютерная сфера Интегрированная геоинформационная система Интернет Компьютер Комплектующие компьютера Лекции Методы и средства измерений неэлектрических величин Обслуживание компьютерных и периферийных устройств Операционные системы Параллельное программирование Проектирование электронных средств Периферийные устройства Полезные ресурсы для программистов Программы для программистов Статьи для программистов Cтруктура и организация данных


 


Не нашли то, что искали? Google вам в помощь!

 
 

© life-prog.ru При использовании материалов прямая ссылка на сайт обязательна.

Генерация страницы за: 0.048 сек.