русс | укр

Языки программирования

ПаскальСиАссемблерJavaMatlabPhpHtmlJavaScriptCSSC#DelphiТурбо Пролог

Компьютерные сетиСистемное программное обеспечениеИнформационные технологииПрограммирование

Все о программировании


Linux Unix Алгоритмические языки Аналоговые и гибридные вычислительные устройства Архитектура микроконтроллеров Введение в разработку распределенных информационных систем Введение в численные методы Дискретная математика Информационное обслуживание пользователей Информация и моделирование в управлении производством Компьютерная графика Математическое и компьютерное моделирование Моделирование Нейрокомпьютеры Проектирование программ диагностики компьютерных систем и сетей Проектирование системных программ Системы счисления Теория статистики Теория оптимизации Уроки AutoCAD 3D Уроки базы данных Access Уроки Orcad Цифровые автоматы Шпаргалки по компьютеру Шпаргалки по программированию Экспертные системы Элементы теории информации

Оценка параметров нормально распределённой лингвистической случайной величины по выборке. Определение необходимого объёма выборки в лингвистических исследованиях.


Дата добавления: 2014-10-07; просмотров: 923; Нарушение авторских прав


Цель: овладеть навыками:

‑ нахождения точечных оценок параметров распределения генеральной совокупности по выборке;

‑ нахождения абсолютной и относительной ошибки оценки математического ожидания и дисперсии генеральной совокупности;

‑ построения доверительных интервалов для математического ожидания и дисперсии нормально распределённой лингвистической величины;

‑ определения минимально достаточного объёма выборки в лингвистических исследованиях по заданной возможной ошибке.

Задание: На основе исходных данных и результатов выполнения Л.Р.№1 и Л.Р.№2 …

1) найти несмещённую и состоятельную оценку для математического ожидания М(Х) и дисперсии D(X) случайной величины Х – «количество глаголов в фрагменте из текста выбранного автора длиной 100 словоупотреблений»;

2) определить абсолютную и относительную ошибку измерения М(Х) генеральной совокупности по выборке.

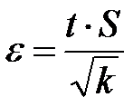
Абсолютная ошибка (стандартная ошибка среднего) находится по формуле , где k- число выбранных из текста фрагментов, - определяется из таблицы квантилей распределения Стьюдента в зависимости от α – уровня значимости и k-1 - числа степеней свободы, S- исправленное среднее квадратическое отклонение, вычисляется по формуле

Относительная ошибка(определяет, какую часть среднего выборочного составляет абсолютная ошибка) находится из равенства .

3) построить 95% доверительный интервал для математического ожидания М(Х) и дисперсии D(X) случайной величины Х-«количество глаголов в фрагменте» по формуле

4) рассчитать, какое минимальное количество фрагментов (минимальный объём выборки) необходимо выбрать для определения средней частоты употребления глаголов, чтобы ширина интервала не превышала 2 при уровне значимости 0,05.

Из формулы относительной ошибки частоты можно получить, путём преобразования, формулу для определения k-числа фрагментов: .



Здесь принимаем t=2 (такая величина t даёт достаточную точность при k=10 и более).

С помощью программы SPSS:

Анализ > Описательные статистики >Описательные. В открывшемся диалоговом окне переносим Xв окно `Переменные`. Открываем вкладку `Параметры`, в окне `Разброс` ставим флажок в квадратике `Стандартная ошибка среднего` ,нажимаем`Продолжить`, ОК.

В полученной таблице показана статистика среднего и его стандартная ошибка. Сравните с полученным вручную значением.

 



<== предыдущая лекция | следующая лекция ==>
Критерий Колмогорова-Смирнова. | Проверка гипотезы о статистической значимости различия средних частот употребления глаголов двух авторов.


Карта сайта Карта сайта укр


Уроки php mysql Программирование

Онлайн система счисления Калькулятор онлайн обычный Инженерный калькулятор онлайн Замена русских букв на английские для вебмастеров Замена русских букв на английские

Аппаратное и программное обеспечение Графика и компьютерная сфера Интегрированная геоинформационная система Интернет Компьютер Комплектующие компьютера Лекции Методы и средства измерений неэлектрических величин Обслуживание компьютерных и периферийных устройств Операционные системы Параллельное программирование Проектирование электронных средств Периферийные устройства Полезные ресурсы для программистов Программы для программистов Статьи для программистов Cтруктура и организация данных


 


Не нашли то, что искали? Google вам в помощь!

 
 

© life-prog.ru При использовании материалов прямая ссылка на сайт обязательна.

Генерация страницы за: 1.28 сек.