русс | укр

Языки программирования

ПаскальСиАссемблерJavaMatlabPhpHtmlJavaScriptCSSC#DelphiТурбо Пролог

Компьютерные сетиСистемное программное обеспечениеИнформационные технологииПрограммирование

Все о программировании


Linux Unix Алгоритмические языки Аналоговые и гибридные вычислительные устройства Архитектура микроконтроллеров Введение в разработку распределенных информационных систем Введение в численные методы Дискретная математика Информационное обслуживание пользователей Информация и моделирование в управлении производством Компьютерная графика Математическое и компьютерное моделирование Моделирование Нейрокомпьютеры Проектирование программ диагностики компьютерных систем и сетей Проектирование системных программ Системы счисления Теория статистики Теория оптимизации Уроки AutoCAD 3D Уроки базы данных Access Уроки Orcad Цифровые автоматы Шпаргалки по компьютеру Шпаргалки по программированию Экспертные системы Элементы теории информации

Предельные теоремы в схеме Бернулли.


Дата добавления: 2014-10-07; просмотров: 1700; Нарушение авторских прав


Часто в лингвистических исследованиях приходится проводить большое число независимых испытаний n. При этом величина n может быть велика, что делает вычисление по формуле Бернулли слишком трудоёмким. В таких случаях применяют асимптотические формулы для вычисления биномиальной вероятности при n→∞.

1. Формула Пуассона , где параметр .

Формула применяется при большом количестве испытаний n (n≥100) и малой вероятности события А р (p≤0,1). При этом а≤10.

Если количество испытаний n велико, а вероятность р не близка к нулю, то для нахождения вероятности используются теоремы Муавра - Лапласа .

2. Локальная теорема Муавра-Лапласа

,

применяется при больших n и р≠0; р≠1.

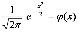
Выражение называется функцией Гаусса, значения которой можно найти в таблице (табулированы).

При равенство дает удовлетворительное приближение.



<== предыдущая лекция | следующая лекция ==>
Теорема Бернулли | Интегральная теорема Муавра-Лапласа


Карта сайта Карта сайта укр


Уроки php mysql Программирование

Онлайн система счисления Калькулятор онлайн обычный Инженерный калькулятор онлайн Замена русских букв на английские для вебмастеров Замена русских букв на английские

Аппаратное и программное обеспечение Графика и компьютерная сфера Интегрированная геоинформационная система Интернет Компьютер Комплектующие компьютера Лекции Методы и средства измерений неэлектрических величин Обслуживание компьютерных и периферийных устройств Операционные системы Параллельное программирование Проектирование электронных средств Периферийные устройства Полезные ресурсы для программистов Программы для программистов Статьи для программистов Cтруктура и организация данных


 


Не нашли то, что искали? Google вам в помощь!

 
 

© life-prog.ru При использовании материалов прямая ссылка на сайт обязательна.

Генерация страницы за: 0.175 сек.