русс | укр

Языки программирования

ПаскальСиАссемблерJavaMatlabPhpHtmlJavaScriptCSSC#DelphiТурбо Пролог

Компьютерные сетиСистемное программное обеспечениеИнформационные технологииПрограммирование

Все о программировании


Linux Unix Алгоритмические языки Аналоговые и гибридные вычислительные устройства Архитектура микроконтроллеров Введение в разработку распределенных информационных систем Введение в численные методы Дискретная математика Информационное обслуживание пользователей Информация и моделирование в управлении производством Компьютерная графика Математическое и компьютерное моделирование Моделирование Нейрокомпьютеры Проектирование программ диагностики компьютерных систем и сетей Проектирование системных программ Системы счисления Теория статистики Теория оптимизации Уроки AutoCAD 3D Уроки базы данных Access Уроки Orcad Цифровые автоматы Шпаргалки по компьютеру Шпаргалки по программированию Экспертные системы Элементы теории информации

Цена заемного капитала


Дата добавления: 2014-04-25; просмотров: 728; Нарушение авторских прав


Заемный капитал в структуре источников может быть представлен долгосрочными и краткосрочными кредитами, облигационными займами и займами других юридических и физических лиц. Эти источники могут иметь разные ставки процентов, на разные сроки. Kd = Уд.Вес_кредита1*Цена_кредита1+ Уд.Вес_кредита2* Сумма_Цена1+Уд.Вес_обл.займа*цена_обл.займа.

Некоторые авторы предлагают учитывать также лизинг в том случае, когда это имущество учитывается на балансе лизингополучателя. На стоимость заемного капитала влияют следующие факторы: уровень процентных ставок, доля источников, величина налогового щита. Снижение ставки налогообложения приводит к уменьшению эффекта налогового щита.

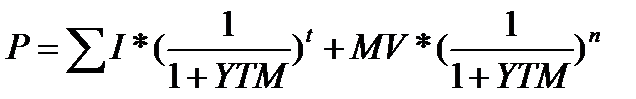
Цена заемного капитала в части банковских кредитов определяется исходя из кредитного договора, либо исходя из средней ставки кредита на рынке. Цена заемного капитала в виде облигационного займа – это т.н. доходность к погашению (YTM), которая находится: , где MV – стоимость облигаций к погашению, t – количество периодов обращения на момент анализа, … .

На практике применяются более упрощенные формулы. Иногда рассчитывают требуемую доходность на момент возмещения: i = , H – номинал облигации, n – срок обращения облигации, F – издержки размещения в расчете на одну облигацию, I – проценты и выплаты по облигациям.

Например, облигация номиналом 1000 у.е. размещается по цене 940 у.е., ежегодная купонная ставка – 20%, срок – 8 лет.

H=1000, p=940, I=1000*0,08=80, F=1000-940=60, − требуемая доходность в момент размещения.

 



<== предыдущая лекция | следующая лекция ==>
Рентабельность как критерий оптимизации. Европейская модель финансового рычага. | Расчет цены собственного капитала


Карта сайта Карта сайта укр


Уроки php mysql Программирование

Онлайн система счисления Калькулятор онлайн обычный Инженерный калькулятор онлайн Замена русских букв на английские для вебмастеров Замена русских букв на английские

Аппаратное и программное обеспечение Графика и компьютерная сфера Интегрированная геоинформационная система Интернет Компьютер Комплектующие компьютера Лекции Методы и средства измерений неэлектрических величин Обслуживание компьютерных и периферийных устройств Операционные системы Параллельное программирование Проектирование электронных средств Периферийные устройства Полезные ресурсы для программистов Программы для программистов Статьи для программистов Cтруктура и организация данных


 


Не нашли то, что искали? Google вам в помощь!

 
 

© life-prog.ru При использовании материалов прямая ссылка на сайт обязательна.

Генерация страницы за: 0.093 сек.