русс | укр

Языки программирования

ПаскальСиАссемблерJavaMatlabPhpHtmlJavaScriptCSSC#DelphiТурбо Пролог

Компьютерные сетиСистемное программное обеспечениеИнформационные технологииПрограммирование

Все о программировании


Linux Unix Алгоритмические языки Аналоговые и гибридные вычислительные устройства Архитектура микроконтроллеров Введение в разработку распределенных информационных систем Введение в численные методы Дискретная математика Информационное обслуживание пользователей Информация и моделирование в управлении производством Компьютерная графика Математическое и компьютерное моделирование Моделирование Нейрокомпьютеры Проектирование программ диагностики компьютерных систем и сетей Проектирование системных программ Системы счисления Теория статистики Теория оптимизации Уроки AutoCAD 3D Уроки базы данных Access Уроки Orcad Цифровые автоматы Шпаргалки по компьютеру Шпаргалки по программированию Экспертные системы Элементы теории информации

Расчет цены собственного капитала


Дата добавления: 2014-04-25; просмотров: 863; Нарушение авторских прав


Аналитики считают, что все компоненты собственного капитала имеют цену привлечения. Уставный капитал: обычные и привилегированные акции − Добавочный капитал, резервный капитал, Нераспределенная прибыль и даже амортизация.

Источники в виде добавочного, резервного и нераспределенной прибыли, считается, что цена их привлечения равна стоимости альтернативных издержек или доходности по альтернативным вложениям, цена упущенной выгоды. Эти средства не инвестируются (находятся у предприятия в резерве). Ставка доходности по такому виду собственного капитала может быть рассчитана как ставка рефинансирования и плата за риск конкретного бизнеса.

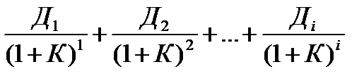
Цена собственного капитала в виде привилегированных акций – это требуемая доходность владельцев привилегированных акций. Как правило, здесь используется модель дисконтирования дивидендов. . Держатели акций чаще всего имеют стабильный поток дивидендов. Причем i стремится к бесконечности.

Т.о., − цена привилегированной акции, К – требуемая доходность. Если поток дивидендов не имеет одинаковой величины, а имеет некоторую тенденцию к росту, то мы имеем дело с растущим потоком дивидендов, и цена привилегированной акции вычисляется моделью Гордона (модель капитализации дивидендов или модель устойчивого роста): . g – темп роста. Модель Гордона применима не только к привилегированным акциям, но и к обыкновенным. Преимущества модели: роста с точки зрения математики. Недостатки модели заключаются в том, что ее нельзя применять, когда не выплачиваются дивиденды. Кроме того, бесконечного темпа роста доходов не бывает, это искажает результат.

Пример:Р= 120 руб., Д0=20 руб./акц., g= 5%.

K=20*1,05/120+5%=22,5%. Т.е. требуемая доходность по акции, по которой выплачиваются дивиденды, растущие с темпом 5% в год, 22,5%.

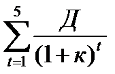
Существует вариация этой модели: модель с переменным темпом роста. 1 этап: составляется прогноз реальных выплат по дивидендам на ближайшие 3-5 лет. 2 этап: рассчитывается дисконтированная стоимость этих дивидендов.



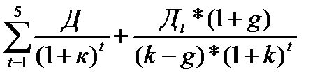
дисконтированная отдача, которую получит акционер за 5 лет. Предприятие продолжит работать бесконечно долгий период в будущем, но дивиденды спрогнозировать на этот период практически невозможно. Поэтому рассчитывается т.н. постпрогнозная стоимость на основе бесконечных временных рядов, т.е. считается, что дивиденды стабильны и будут расти этим темпом в будущем. .

 

 



<== предыдущая лекция | следующая лекция ==>
Цена заемного капитала | Модель Шарпа


Карта сайта Карта сайта укр


Уроки php mysql Программирование

Онлайн система счисления Калькулятор онлайн обычный Инженерный калькулятор онлайн Замена русских букв на английские для вебмастеров Замена русских букв на английские

Аппаратное и программное обеспечение Графика и компьютерная сфера Интегрированная геоинформационная система Интернет Компьютер Комплектующие компьютера Лекции Методы и средства измерений неэлектрических величин Обслуживание компьютерных и периферийных устройств Операционные системы Параллельное программирование Проектирование электронных средств Периферийные устройства Полезные ресурсы для программистов Программы для программистов Статьи для программистов Cтруктура и организация данных


 


Не нашли то, что искали? Google вам в помощь!

 
 

© life-prog.ru При использовании материалов прямая ссылка на сайт обязательна.

Генерация страницы за: 0.021 сек.