русс | укр

Языки программирования

ПаскальСиАссемблерJavaMatlabPhpHtmlJavaScriptCSSC#DelphiТурбо Пролог

Компьютерные сетиСистемное программное обеспечениеИнформационные технологииПрограммирование

Все о программировании


Linux Unix Алгоритмические языки Аналоговые и гибридные вычислительные устройства Архитектура микроконтроллеров Введение в разработку распределенных информационных систем Введение в численные методы Дискретная математика Информационное обслуживание пользователей Информация и моделирование в управлении производством Компьютерная графика Математическое и компьютерное моделирование Моделирование Нейрокомпьютеры Проектирование программ диагностики компьютерных систем и сетей Проектирование системных программ Системы счисления Теория статистики Теория оптимизации Уроки AutoCAD 3D Уроки базы данных Access Уроки Orcad Цифровые автоматы Шпаргалки по компьютеру Шпаргалки по программированию Экспертные системы Элементы теории информации

Формальне визначення______________________________________________


Дата добавления: 2015-08-31; просмотров: 874; Нарушение авторских прав


Булева алгебра

Бу́лева а́лгебра — це алгебраїчна структура, що є доповненою дистрибутивнною ґраткою, та частина математики яка вивчає подібні структури.

Не варто плутати з Алгеброю логіки — яка є частковим випадком Булевої алгебри, але в математичній логіці замість неї вживають термін «Булева алгебра».

Алгебра логіки — застосування алгебраїчних методів і символіки для вивчення логічних відношень і розв'язання логічних задач.

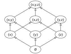
Булева алгебра утворена підмножинами множини {x,y,z}

Формальне визначення______________________________________________

Булева алгебра — алгебраїчна структура з двома бінарними операціями:

· («meet», «булеве множення») — узагальнення кон'юнкції,

· («join», «булеве додавання») — узагальнення диз'юнкції,

та унарною операцією:

· чи («булеве доповнення») — узагальнення заперечення;

що задовільняють такі аксіоми:

(комутативність)

(асоціативність)

(закон поглинання)

(дистрибутивність)

(доповнення)

 

 

З аксіом випливають такі теореми:

(ідемпотентність)

Тобто вирази та не залежать від вибору елемента.

Елемент називається булевою одиницею 1, елемент називається булевим нулем 0.

(правила де Моргана)

(інволюція заперечення)

Над множиною A також визначене бінарне відношення ≤, яке має назву відношення нестрогого порядку та відповідає умовам:

1. x≤x (рефлективність)

2. якщо x≤y та y≤x, то x=y (антисиметричність)

3. якщо x≤y та y≤z, то x≤z (транзитивність)

Замість x≤y можна писати у≥x. Множина з таким відношенням має назву впорядкованої.

Нехай S — підмножина елементів впорядкованої множини A. Елемент a' має назву верхньої (нижньої) границі S, якщо для будь-якого а з S справедливе a ≤ a' (a ≥ a'). Якщо множина усіх верхніх (нижніх_ границь множини S містить найменший (найбільший) елемент, то він має назву точної верхньої (точної нижньої) границі і позначається sup S(inf S). Якщо для будь-яких a, b з множини A існують inf (a, b) та sup (a, b), то така множина називається структурою або решіткою. Точна верхня границя такої множини є , точна нижня границя є .





<== предыдущая лекция | следующая лекция ==>
Валютные операции | Аксіоматизація_____________________________________________________


Карта сайта Карта сайта укр


Уроки php mysql Программирование

Онлайн система счисления Калькулятор онлайн обычный Инженерный калькулятор онлайн Замена русских букв на английские для вебмастеров Замена русских букв на английские

Аппаратное и программное обеспечение Графика и компьютерная сфера Интегрированная геоинформационная система Интернет Компьютер Комплектующие компьютера Лекции Методы и средства измерений неэлектрических величин Обслуживание компьютерных и периферийных устройств Операционные системы Параллельное программирование Проектирование электронных средств Периферийные устройства Полезные ресурсы для программистов Программы для программистов Статьи для программистов Cтруктура и организация данных


 


Не нашли то, что искали? Google вам в помощь!

 
 

© life-prog.ru При использовании материалов прямая ссылка на сайт обязательна.

Генерация страницы за: 1.639 сек.