русс | укр

Языки программирования

ПаскальСиАссемблерJavaMatlabPhpHtmlJavaScriptCSSC#DelphiТурбо Пролог

Компьютерные сетиСистемное программное обеспечениеИнформационные технологииПрограммирование

Все о программировании


Linux Unix Алгоритмические языки Аналоговые и гибридные вычислительные устройства Архитектура микроконтроллеров Введение в разработку распределенных информационных систем Введение в численные методы Дискретная математика Информационное обслуживание пользователей Информация и моделирование в управлении производством Компьютерная графика Математическое и компьютерное моделирование Моделирование Нейрокомпьютеры Проектирование программ диагностики компьютерных систем и сетей Проектирование системных программ Системы счисления Теория статистики Теория оптимизации Уроки AutoCAD 3D Уроки базы данных Access Уроки Orcad Цифровые автоматы Шпаргалки по компьютеру Шпаргалки по программированию Экспертные системы Элементы теории информации

Решение


Дата добавления: 2015-08-31; просмотров: 709; Нарушение авторских прав


В пространстве состояния любая многомерная динамическая система описывается системой дифференциальных уравнений первого порядка в явной форме:

x = f (x, u, t), (9)

где x(t) - n-мерный вектор-столбец, компонентами которого являются переменные со­стояния, u(t) - r-мерный вектор-столбец, координаты которого содержат значения выход­ных переменных, t - независимая переменная, время. Уравнение (9) часто называют урав­нением состояния. Выходная переменная может быть представлена следующим образом

(10)

Уравнение (10) называется уравнением выходной переменной.

Для многомерных линейных систем уравнения (9), (10) соответственно принимают вид:

= A(t )x(t) + B(t )u(t) (11)

= C(t) x (t) + D(t )u (t) (12)

где A(t), B(t), C(t), D(t) – матрицы размера (n x n), (n x r), (k x n), (к х к) соответственно.

Если матрицы А, В, С, D не зависят от времени, то такая система называется мно­гомерной стационарной системой.

Для описания динамики системы в пространстве состояний необходимо также за­дать вектор начальных условий:

.

В SimuLink для моделирования систем, представленных в пространстве состояния существует блок State-Space. В окне редактирования блока State-Space приняты сле­дующие обозначения :

· x - вектор состояния,

· u - вектор входных воздействий,

· y - вектор выходных сигналов,

· A, B, C, D - матрицы: системы, входа, выхода и обхода, соответственно.

· Initial condition - Вектор начальных условий.

· Absolute tolerance — Абсолютная погрешность.

Размерность матриц показана на Рисунке 31 (n - количество переменных состояния, m – число входных сигналов, r – число выходных сигналов).

Рис. 31. Блок State-Space.

 

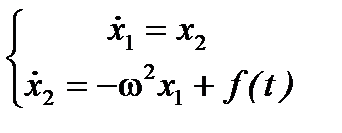
Найдем значения матриц A, B, С, D для колебательной системы, имеющей од­ну степень свободы, уравнение движения которой имеет вид:



(13)

где ω - циклическая частота, х - смещение колеблющейся материальной точки от поло­жения равновесия, f(t) - вынуждающая сила, отнесенная к массе колеблющегося тела. В качестве компонентов вектора состояния выберем

Тогда уравнение (13) примет вид:

(14)

Стандартная форма уравнений состояния (10) в векторно-матричных обозначениях имеет вид:

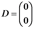
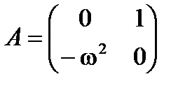
= Ax(t) + Bu(t) , где , , , .


Если выходом рассматриваемой системы является смещение колебательной систе­мы от положения равновесия, то y = x1, тогда C = [1 0] и D = 0

Если выходом рассматриваемой системы является её скорость, то y = x2, тогда C = [0 1], D = 0.

Если выходами рассматриваемой системы являются и смещение колебательной системы относительно положения равновесия, и ее скорость, то , ,

В нашем случае: u = f (t) = sin(t), ω = 1, y = x1

Зададим время .

На рис. 32 представлена s-модель системы (14), а на рис. 15 окно редактирования блока State-Space.

Рис. 32. Модель системы .  

 

Рис. 33. Настройки блока State-Space .  

 

Вывод

Я познакомиться с пакетом имитационного моделирования SimuLink и изучил воз­можности решения с его помощью дифференциальных уравнений. Выполнил задачи:

- изучить интерфейс и библиотеку блоков пакета SimuLink;

- научиться создавать s - модели;

- научиться решать дифференциальные уравнения с помощью составления их s - моделей и с помощью специального решателя.

 



<== предыдущая лекция | следующая лекция ==>
Решение | 


Карта сайта Карта сайта укр


Уроки php mysql Программирование

Онлайн система счисления Калькулятор онлайн обычный Инженерный калькулятор онлайн Замена русских букв на английские для вебмастеров Замена русских букв на английские

Аппаратное и программное обеспечение Графика и компьютерная сфера Интегрированная геоинформационная система Интернет Компьютер Комплектующие компьютера Лекции Методы и средства измерений неэлектрических величин Обслуживание компьютерных и периферийных устройств Операционные системы Параллельное программирование Проектирование электронных средств Периферийные устройства Полезные ресурсы для программистов Программы для программистов Статьи для программистов Cтруктура и организация данных


 


Не нашли то, что искали? Google вам в помощь!

 
 

© life-prog.ru При использовании материалов прямая ссылка на сайт обязательна.

Генерация страницы за: 2.387 сек.