Приращение
функции
представимо в виде:

где функция
является б.м. функцией при стремлении аргумента
к нулю. Так как
, то

В силу того, что второе слагаемое
является бесконечно малым, то им можно пренебречь, а поэтому 
А так как в нахождении дифференциал значительно проще, чем приращение функции, то данная формула активно используется на практике.
Для приближенного вычисления значения функции применяется следующая формула:

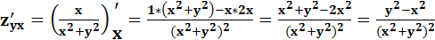
3.
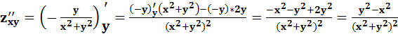
4.
;
;
;