Рассматривая частные производные
и
как функции от
, приходим к понятиям частных производных второго порядка. А именно, выражения
, 
называют частными производными второго порядка функции
по x и y по соответственно, а выражения
, 
– смешанными частными производными второго порядка функции
. Их обозначают также символами:
,
,
и
. Аналогично определяют частные производные 3-го порядка (их будет 8=23 ), 4-го порядка (их будет 16=24 ) и т.д.
Теорема 4. Если в некоторой окрестности точки
функция
имеет смешанные частные производные
и
, причем эти производные непрерывны в точке
, то они равны в этой точке:
=
.
Если последнее равенство выполняется, то говорят, что смешанные частные производные 2-го порядка функции
не зависят от порядка дифференцирования в точке
.
Теорема 4 допускает обобщение: по индукции ее можно распространить на любые непрерывные смешанные частные производные.
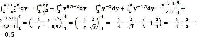
3.
4.