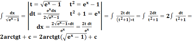
Метод интегрирования по частям позволяет свести исходный неопределенный интеграл к более простому виду либо к табличному интегралу. Этот метод наиболее часто применяется, если подынтегральная функция содержит логарифмические, показательные, обратные тригонометрические, тригонометрические функции, а также их комбинации.
Формула интегрирования по частям следующая
.
То есть, подынтегральное выражение f(x)dx представляем в виде произведения функции u(x)на d(v(x)) - дифференциал функции v(x). Далее находим функцию v(x) (чаще всего методом непосредственного интегрирования) и d(u(x)) - дифференциал функции u(x). Подставляем найденные выражения в формулу интегрирования по частям и исходный неопределенный интеграл сводится к разности
. Последний неопределенный интеграл может быть взят с использованием любого метода интегрирования, в том числе и метода интегрирования по частям.
Второй дифференциал функции двух переменных.Неинвариантность формы дифференциалов порядка,выше первого.
Пусть функция
дифференцируема в точке
Тогда в этой точке существует дифференциал

Будем в дальнейшем называть его дифференциалом первого порядка или первым дифференциалом.Дифференциалом второго порядка или вторым дифференциалом функции
в точке
называется дифференциал от ее первого дифференциала
, который обозначается 
Если задана дифференцируемая функция
–независимые переменные,то имеет место формула

Т.к.
-независимые переменные,то
-тоже независимые переменныеюПоэтому

Поскольку

То

3.
4.