русс | укр

Языки программирования

ПаскальСиАссемблерJavaMatlabPhpHtmlJavaScriptCSSC#DelphiТурбо Пролог

Компьютерные сетиСистемное программное обеспечениеИнформационные технологииПрограммирование

Все о программировании


Linux Unix Алгоритмические языки Аналоговые и гибридные вычислительные устройства Архитектура микроконтроллеров Введение в разработку распределенных информационных систем Введение в численные методы Дискретная математика Информационное обслуживание пользователей Информация и моделирование в управлении производством Компьютерная графика Математическое и компьютерное моделирование Моделирование Нейрокомпьютеры Проектирование программ диагностики компьютерных систем и сетей Проектирование системных программ Системы счисления Теория статистики Теория оптимизации Уроки AutoCAD 3D Уроки базы данных Access Уроки Orcad Цифровые автоматы Шпаргалки по компьютеру Шпаргалки по программированию Экспертные системы Элементы теории информации

Свойства градиента


Дата добавления: 2015-01-16; просмотров: 1065; Нарушение авторских прав


1. Производная в данной точке по направлению вектора имеет наибольшее значение, если направление вектора совпадает с направлением градиента. Это наибольшее значение производной равно .

2. Производная по направлению вектора, перпендикулярного к вектору , равна нулю.

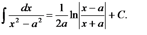
3.Найти интеграл:

=

=

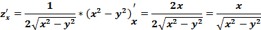
4.Найти частную производную первого порядка:

Билет № 2

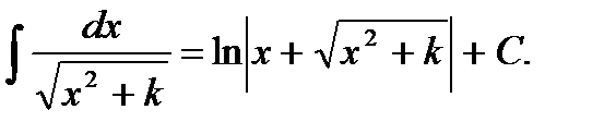
1.Таблица основных интегралов.

Таблица основных интегралов:

2.Функция двух переменных:способы задания,геометрическое представление.

Определение функции двух переменных. Определение. Если каждой паре (x,y) значений двух независимых друг от друга переменных величин x и y из некоторого множества D соответствует единственное значение величины z, а каждому z соответствует хотя бы одна пара (x,y), то мы говорим, что z есть функция двух независимых переменных x и y, определенная в D.

Способы задания функций.

1.Аналитический.

а)явный ,например

б)неявный ,например

2.Графический,например однополостной гиперболоид

 

z
x
y

 


3.Табличный.Функция задается таблицей ряда значений аргумента и соответст-вующих им значений функции.Например,известные таблицы значений триго-нометрических ф-ций.

Графиком функции z = 1 - x - y является плоскость, проходящая через точки (1; 0; 0;), (0; 1; 0) и (0; 0; 1)

3.Найти интеграл:

4.

Билет № 3

1.Внесение функций под знак дифференциала.

Иногда удается представить подынтегральное выражение в виде f(u)du, где u- некоторая функция от x, и при этом интеграл является табличным. Этот прием называется подведением под знак дифференциала и представляет собой простейший вариант замены переменной, выраженной свойством 5. Для демонстрации этого приема нам понадобится свойство дифференциала и таблица дифференциалов.





<== предыдущая лекция | следующая лекция ==>
Производная по направлению. Градиент | Функции двух и более независимых переменных.


Карта сайта Карта сайта укр


Уроки php mysql Программирование

Онлайн система счисления Калькулятор онлайн обычный Инженерный калькулятор онлайн Замена русских букв на английские для вебмастеров Замена русских букв на английские

Аппаратное и программное обеспечение Графика и компьютерная сфера Интегрированная геоинформационная система Интернет Компьютер Комплектующие компьютера Лекции Методы и средства измерений неэлектрических величин Обслуживание компьютерных и периферийных устройств Операционные системы Параллельное программирование Проектирование электронных средств Периферийные устройства Полезные ресурсы для программистов Программы для программистов Статьи для программистов Cтруктура и организация данных


 


Не нашли то, что искали? Google вам в помощь!

 
 

© life-prog.ru При использовании материалов прямая ссылка на сайт обязательна.

Генерация страницы за: 0.278 сек.