русс | укр

Языки программирования

ПаскальСиАссемблерJavaMatlabPhpHtmlJavaScriptCSSC#DelphiТурбо Пролог

Компьютерные сетиСистемное программное обеспечениеИнформационные технологииПрограммирование

Все о программировании


Linux Unix Алгоритмические языки Аналоговые и гибридные вычислительные устройства Архитектура микроконтроллеров Введение в разработку распределенных информационных систем Введение в численные методы Дискретная математика Информационное обслуживание пользователей Информация и моделирование в управлении производством Компьютерная графика Математическое и компьютерное моделирование Моделирование Нейрокомпьютеры Проектирование программ диагностики компьютерных систем и сетей Проектирование системных программ Системы счисления Теория статистики Теория оптимизации Уроки AutoCAD 3D Уроки базы данных Access Уроки Orcad Цифровые автоматы Шпаргалки по компьютеру Шпаргалки по программированию Экспертные системы Элементы теории информации

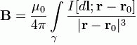
Формула 1 — Закон Био Савара Лапласа


Дата добавления: 2015-08-31; просмотров: 3636; Нарушение авторских прав


Закон Био-Савара-Лапласа.

Закон Био Савара Лапласа определяет величину модуля вектора магнитной индукции в точке выбранной произвольно находящейся в магнитном поле. Поле при этом создано постоянным током на некотором участке.


Формулировка закона Био Савара Лапласа имеет вид: При прохождении постоянного тока по замкнутому контуру, находящемуся в вакууме, для точки, отстоящей на расстоянии r0, от контура магнитная индукция будет иметь вид.

Формула 1 — Закон Био Савара Лапласа

где I ток в контуре

гамма контур, по которому идет интегрирование

r0 произвольная точка

Принцип суперпозиции.

Принцип суперпозиции магнитных полей: если магнитное поле создано несколькими проводниками с токами, то вектор магнитной индукции в какой-либо точке этого поля равен векторной сумме магнитных индукций, созданных в этой точке каждым током в отдельности:

Теорема о циркуляции вектора магнитной индукции.

Возьмем контур l (рис. 2.8), охватывающий прямой ток I, и вычислим для него циркуляцию вектора магнитной индукции , т.е. .

Рис. 2.8

Вначале рассмотрим случай, когда контур лежит в плоскости перпендикулярно потоку (ток I направлен за чертеж). В каждой точке контура вектор направлен по касательной к окружности, проходящей через эту точку (линии прямого тока – окружности).

Воспользуемся свойствами скалярного произведения векторов.

где – проекция dl на вектор , но , где R – расстояние от прямой тока I до dl.

.

Отсюда

  , (2.6.1)  

это теорема о циркуляции вектора : циркуляция вектора магнитной индукции равна току, охваченному контуром, умноженному на магнитную постоянную.

Теорема Гаусса для магнитных полей.

Подобно тому, как было введено понятие потока вектора напряженности электрического поля, введем понятие потока вектора магнитной индукции, или магнитного потока. Элементарный магнитный поток через малую элементарную площадку , которую можно считать плоской, и в окрестности которой магнитное поле можно считать однородным, равен произведению вектора индукции на площадь выделенного элемента поверхности и косинус угла между вектором индукции и нормалью к поверхности:



.

Поток может быть как положительным, так и отрицательным в зависимости от направления нормали к поверхности.

За единицу магнитного потока в системе единиц СИ принят вебер (Вб). 1 Вб – это магнитный поток через поверхность площадью , расположенную в однородном магнитном поле перпендикулярно вектору индукции , равному по модулю :

.

В случае неоднородного магнитного поля поток через какую-либо поверхность равен алгебраической сумме потоков через участки поверхности, вблизи которых поле можно считать однородным.

Магнитный поток, как и поток вектора напряженности электрического поля, можно считать равным числу магнитных силовых линий, пересекающих рассматриваемую поверхность. Магнитное поле является вихревым, то есть его линии магнитной индукции замкнуты. Поэтому замкнутая поверхность, помещенная в магнитное поле, пронизывается линиями магнитной индукции так, что любая линия, входящая в эту поверхность, выходит из нее. Следовательно, полный магнитный поток через произвольную замкнутую поверхность равен нулю. Это утверждение носит название теоремы Гаусса для магнитных полей. Равенство нулю магнитного потока через замкнутую поверхность является следствием того, что в природе нет магнитных зарядов, и магнитные поля образуются только электрическими зарядами.



<== предыдущая лекция | следующая лекция ==>
Электрический нумератор | Действие магнитного поля на проводник с током и движущийся заряд.


Карта сайта Карта сайта укр


Уроки php mysql Программирование

Онлайн система счисления Калькулятор онлайн обычный Инженерный калькулятор онлайн Замена русских букв на английские для вебмастеров Замена русских букв на английские

Аппаратное и программное обеспечение Графика и компьютерная сфера Интегрированная геоинформационная система Интернет Компьютер Комплектующие компьютера Лекции Методы и средства измерений неэлектрических величин Обслуживание компьютерных и периферийных устройств Операционные системы Параллельное программирование Проектирование электронных средств Периферийные устройства Полезные ресурсы для программистов Программы для программистов Статьи для программистов Cтруктура и организация данных


 


Не нашли то, что искали? Google вам в помощь!

 
 

© life-prog.ru При использовании материалов прямая ссылка на сайт обязательна.

Генерация страницы за: 0.903 сек.