русс | укр

Языки программирования

ПаскальСиАссемблерJavaMatlabPhpHtmlJavaScriptCSSC#DelphiТурбо Пролог

Компьютерные сетиСистемное программное обеспечениеИнформационные технологииПрограммирование

Все о программировании


Linux Unix Алгоритмические языки Аналоговые и гибридные вычислительные устройства Архитектура микроконтроллеров Введение в разработку распределенных информационных систем Введение в численные методы Дискретная математика Информационное обслуживание пользователей Информация и моделирование в управлении производством Компьютерная графика Математическое и компьютерное моделирование Моделирование Нейрокомпьютеры Проектирование программ диагностики компьютерных систем и сетей Проектирование системных программ Системы счисления Теория статистики Теория оптимизации Уроки AutoCAD 3D Уроки базы данных Access Уроки Orcad Цифровые автоматы Шпаргалки по компьютеру Шпаргалки по программированию Экспертные системы Элементы теории информации

Несобственные интегралы от разрывных функций


Дата добавления: 2015-08-31; просмотров: 2360; Нарушение авторских прав


Рассмотрим теперь функцию , заданную в конечном промежутке, но имеющая разрыв. Пусть функция определена и непрерывна в промежутке , а при функция либо неопределена, либо терпит разрыв.

В этом случае нельзя говорить об интеграле как о пределе интегральных сумм, так как не является непрерывной на отрезке , и поэтому этот предел может и не существовать.

Интеграл от функции , разрывной в точке , определяется следующим образом:

(5.2.1)

(где ). Определение5.2.1: предел интеграла при (конечный или бесконечный) называется несобственным интегралом от функции в пределах от до

В случае, если этот предел конечен, говорят, что несобственный интеграл сходится, а сам предел называют его значением. Функцию называют интегрируемой в промежутке .

Если же предел бесконечен или вовсе не существует, то говорят, что интеграл расходится, и тогда символу не приписывают никакого значения.

Аналогично можно ввести понятие несобственного интеграла, если функция имеет разрыв в точке : по определению полагают: (5.2.2)

Если функция имеет разрыв внутри отрезка , при , то (5.2.3)

(при условии, что оба несобственных интеграла в правой части существуют).

Если же хотя бы один из интегралов расходится, то несобственный интеграл расходится.

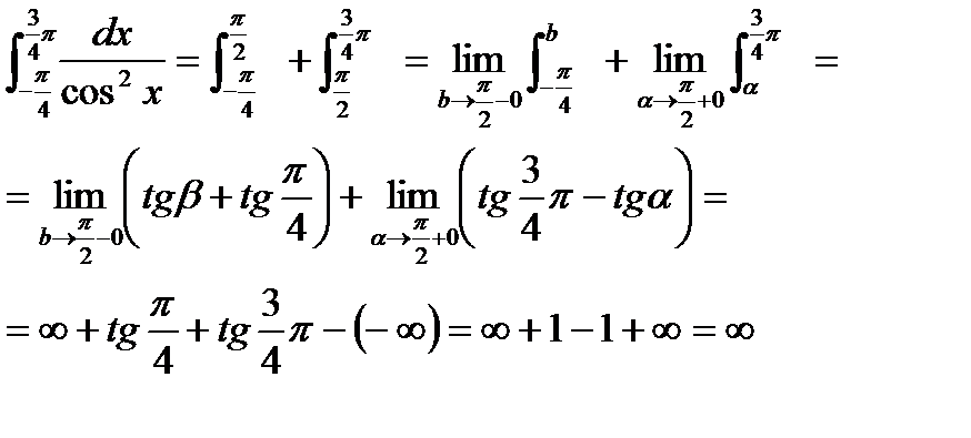
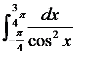
Пример 5.2.1: при функция имеет разрыв. Поэтому


Интеграл расходится (рис 5.2.1)

Для определения сходимости несобственного интеграла от разрывных функций и оценки их значений часто могут быть применены теоремы, аналогичны теоремам для оценки интегралов с бесконечными пределами. Теорема5.2.1: (признак сравнения):

если на отрезке функции и разрывны в точке , причем во всех точках этого отрезка , то из сходимости интеграла следует сходимость интеграла .По признаку сравнения данный интеграл расходится.

Теорема5.2.2(призниксравнения): если на отрезке функции и разрывны в точке , причем во всех точках этого отрезка , то из расходимости интеграла следует расходимость интеграла .Теорема5.2.3.: если - знакопеременная на отрезке функция, разрывна только при , и несобственный интеграл от абсолютной величины этой функции сходится, то сходится также интеграл от самой функции.Имеет место также теорема аналогичная теореме (*).



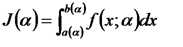
5.3Интегралы, зависящие от параметра. Рассмотрим интеграл вида

, (5.3.1)

где под знак интеграла, помимо переменной интегрирования , входит параметр (произвольная постоянная ), т.е. величина, которая в процессе интегрирования считается постоянной, но вообще может принимать разные значения.

Если параметр будет меняться, то будет меняться и значение определенного интеграла (5.3.1). Таким образом, определенный интеграл (5.3.1) есть функция от ; поэтому мы его можем обозначить через :

(5.3.2)

Такие интегралы часто встречаются в приложениях, когда интегрируемая функция включает в себя какие-либо массы, размеры и т.п., которые в процессе интегрирования являются постоянными.

Замечание5.3.1: мы для простоты будем считать, что подынтегральная функция содержит только один параметр, хотя результаты получаются аналогичными при любом числе параметров.

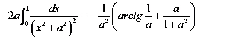
Пример5.3.1:

.

Рассмотрим некоторые свойства интеграла (5.3.1):

1) Непрерывность интегралов зависящих от параметра:
Если подынтегральная функция при и зависит от непрерывно (в интервале ) т.е. функция непрерывна.
Доказательство:

это свойство вытекает , например, из геометрического смысла интеграла как площади кривой трапеции: если при бесконечно малом изменении криволинейная сторона трапеции изменится бесконечно мало, то и площадь изменится бесконечно мало.
Замечание: при этом функция не обязана зависеть от непрерывно; она может иметь конечные разрывы. Бывает, что и пределы интегрирования зависят от параметра: . Тогда для непрерывности надо дополнительно потребовать, чтобы функции и не имели разрывов.

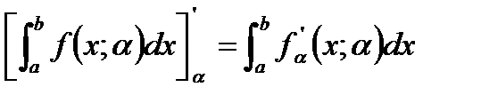
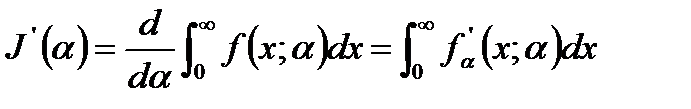
2) ПравилоЛейбница:
возможно дифференцирование интеграла (5.3.1) по параметру под знаком интеграла другими словами, (дело в том, что интеграл (5.3.1) аналогичен сумме весьма большого числа слагаемых, каждое из которых зависит от , а дифференцирование под знаком суммы возможно, так как производная суммы равна сумме производных).
Доказательство:

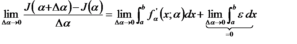
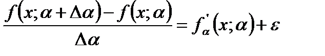
пусть функция и её производная есть непрерывные функции при и (5.3.3).
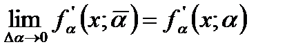
Производная интеграла по параметру : (5.3.4)
для нахождения этой производной заметим, что, так как , то , и, следовательно, .

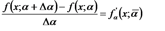
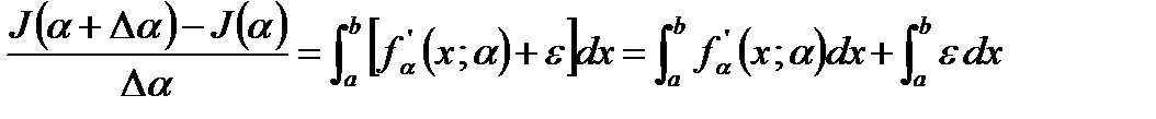
Составим отношение
.
к подынтегральной функции применим теорему Лагранжа: , где заключено между и . В следствии непрерывности функции имеем:
; откуда , где при ( зависит от ).

Таким образом, , тогда переходя к пределу, где получим ; ;

- формула Лейбница (5.3.5)

Правило Лейбница: производная от интеграла по параметру равна интегралу от производной подынтегральной функции по этому параметру.

Правило Лейбница иногда применяется для отыскания сложных определенных интегралов.

Пример5.3.2:

.

продифференцируем обе части этого равенства по параметру ,

; или (5.3.6)

Продолжая дифференцирование, сможем вычислить интеграл

для .

Вычисление их без применения правила Лейбница привело бы к

гораздо более громоздки выкладкам.

Понятие о несобственных интегралах, зависящих от параметра.

Приведенные выше теоремы относятся и к интегралам с конечными пределами и с непрерывной подынтегральной функцией.

Рассмотрим интеграл вида (наиболее часто встречающийся интеграл)

, (*)

где - непрерывная функция (т.е. интеграл не имеет особенностей при конечных ).

Конечно, прежде всего надо требовать чтобы интеграл сходился.

Однако по сравнению с предыдущим вопросом (см. интеграл (5.3.1) свойство 1)), мы сталкиваемся со следующим новым обстоятельством: даже если функция непрерывно зависит о , зависимость интеграла от может получится разрывной.

Это связано с тем, что бесконечно малое изменение функции на бесконечно большом участке интегрирования может привести к конечному изменению интеграла.

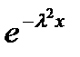
Например5.3.3:
. Подынтегральная функция непрерывна при всех значениях и ; функция же имеет бесконечный разрыв при .

 

Чтобы установить, при каких условиях теоремы, рассмотренные ранее для несобственных интегралов, останутся справедливыми для несобственных интегралов вида (*), введем следующее определение.

Определение5.3.1: несобственный интеграл зависящий от параметра , называется правильно сходящимся, если при рассматриваемых значениях , где функция , , и сходится.

Для правильно сходящихся несобственных интегралов имеют место следующие свойства, которые рассмотрим без доказательства:

1) Если подынтегральная функция зависит от непрерывно, то и интеграл зависит от непрерывно.

2) Если функция имеет непрерывную (частную) производную и интеграл от этой производной тоже сходится правильно, то функция дифференцируема и справедлива формула .

 

Гамма-функция и функциональное уравнение для неё

В качестве важного примера несобственного интеграла, зависящего от параметра, рассмотрим неэлементарную «гамма функцию», введенную Эйлером в 1729г.

Функция Г, после элементарных, является одной из важнейших функций для анализа и его приложений.

Определение5.3.2: гамма функцией называется несобственный интеграл вида:
(5.3.2.1) (1)
(этот интеграл называется также Эйлеровым интегралом второго рода).

Интеграл (5.3.1.1) есть несобственный интеграл с параметром . Он является примером интеграла, первообразная которого не выражается в виде комбинации элементарных функций. (интеграл (5.3.1.1) несобственный уже из-за бесконечного верхнего предела. Если , то интеграл (5.3.1.1) имеет особенность и при )

Сходится интеграл (5.3.1.11) при всех положительных значениях параметра : . (следовательно, формулу (5.3.1.11) надо рассматривать при . Доказательство см. «избранные главы высшей математики» стр. 92).

Гамма-функция обладает целым рядом замечательных свойств.

Среди свойств гамма - функции особое место занимает формула приведения (которая позволяет обобщить понятие факториала, известное нам из элементарной математики, на дробные и даже комплексные значения аргумента).

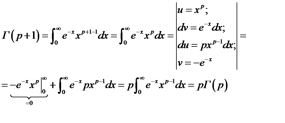
Покажем, что гамма-функция удовлетворяет соотношению (5.3.2.2)

Для вывода этого основного свойства гамма-функции проведем интегрирование по частям:

.

Что и требовалось доказать.

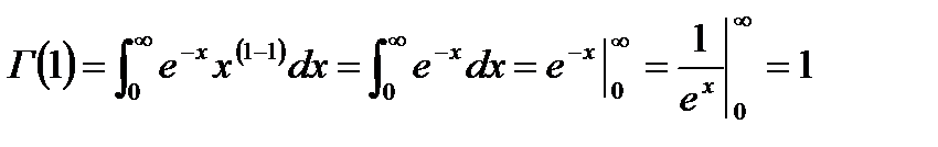
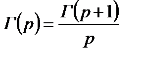
Легко подсчитать, далее, что , т.е. .

Теперь подставляя в формулу (2) последовательно , мы получим ; ; и т.д. вообще . (5.3.1.3)

Если прочитать эту формулу справа на лево то мы видим, что гамма-функция дает представление факториала. В то же время эта формула имеет смысл и для нецелых значений аргумента.

Из формулы (3) видно, в частности, что , т.е. .

Замечание 5.3.1.1: гамма-функция определяется и для отрицательных значений аргумента. Пользоваться при этом формулой (5.3.2.1) нельзя, так как интеграл расходится. Однако можно применить формулу (5.3.2.2), переписав её в виде .

Замечание 5.3.1.2: имеются таблицы значений гамма-функции.

 



<== предыдущая лекция | следующая лекция ==>
Несобственные интегралы | Бета-функция.


Карта сайта Карта сайта укр


Уроки php mysql Программирование

Онлайн система счисления Калькулятор онлайн обычный Инженерный калькулятор онлайн Замена русских букв на английские для вебмастеров Замена русских букв на английские

Аппаратное и программное обеспечение Графика и компьютерная сфера Интегрированная геоинформационная система Интернет Компьютер Комплектующие компьютера Лекции Методы и средства измерений неэлектрических величин Обслуживание компьютерных и периферийных устройств Операционные системы Параллельное программирование Проектирование электронных средств Периферийные устройства Полезные ресурсы для программистов Программы для программистов Статьи для программистов Cтруктура и организация данных


 


Не нашли то, что искали? Google вам в помощь!

 
 

© life-prog.ru При использовании материалов прямая ссылка на сайт обязательна.

Генерация страницы за: 0.552 сек.