русс | укр

Языки программирования

ПаскальСиАссемблерJavaMatlabPhpHtmlJavaScriptCSSC#DelphiТурбо Пролог

Компьютерные сетиСистемное программное обеспечениеИнформационные технологииПрограммирование

Все о программировании


Linux Unix Алгоритмические языки Аналоговые и гибридные вычислительные устройства Архитектура микроконтроллеров Введение в разработку распределенных информационных систем Введение в численные методы Дискретная математика Информационное обслуживание пользователей Информация и моделирование в управлении производством Компьютерная графика Математическое и компьютерное моделирование Моделирование Нейрокомпьютеры Проектирование программ диагностики компьютерных систем и сетей Проектирование системных программ Системы счисления Теория статистики Теория оптимизации Уроки AutoCAD 3D Уроки базы данных Access Уроки Orcad Цифровые автоматы Шпаргалки по компьютеру Шпаргалки по программированию Экспертные системы Элементы теории информации

Критерий Коши сходимости числовых рядов.


Дата добавления: 2015-08-14; просмотров: 1306; Нарушение авторских прав


Для сходимости числового ряда необходимо и достаточно чтобы,

, или другими словами

 

 

Критерий сходимости положительных рядов (критерий Коши) — основной признак сходимости числовых рядов, установленный Огюстеном Коши.

Положительный ряд сходится тогда и только тогда, когда последовательность его частичных сумм ограничена сверху.

 

 

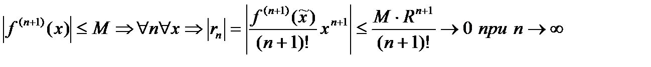
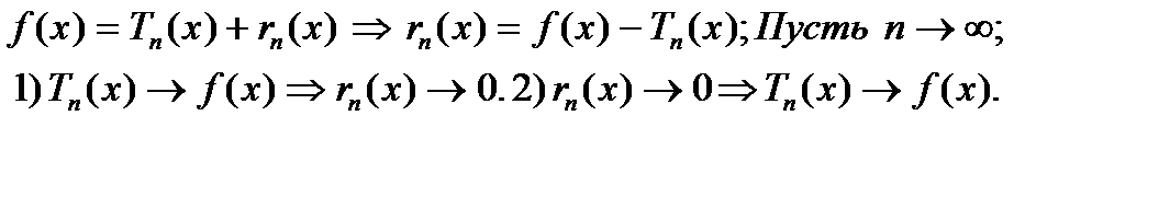
Теорема 2(необходимое и достаточное условие разложимости). Бесконечно дифференцируемая

на интервале сходимости функция раскладывается в ряд Тейлора тогда и только тогда, когда остаточный член в формуле Тейлора

{ По формуле Тейлора:

}

Следствие.Для разложимости в степенной ряд бесконечно дифференцируемой на интервале сходимости функции достаточно, чтобы все ее производные были ограничены одним числом.

{ }

 

В предыдущих лекциях рассматривались степенные ряды, для которых в пределах области равномерной сходимости сумма ряда s(x) представляет собой непрерывную и бесконечно дифференцируемую функцию от х. Теперь поставим обратную задачу: найти степенной ряд, суммой которого является данная функция.

Определение 6.1. Представление функции в виде

(6.1)

называется ее разложением в степенной ряд.

 

Теорема 6.1. Если функция f(x) раскладывается в окрестности точки х0 в степенной ряд (6.1) с радиусом сходимости R, то:

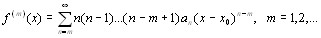
1. функция f имеет на интервале (x0 – R , x0 + R) производные всех порядков, которые можно найти почленным дифференцированием ряда (6.1): (6.2)

2. (6.3)

3. ряды (6.1), (6.2) и (6.3) имеют одинаковые радиусы сходимости.

Доказательство всех трех утверждений следует из общих свойств степенных рядов (теоремы 5.2 и 5.3).

 

Теорема 6.2. Если функция f раскладывается в некоторой окрестности точки х0 в сте-пенной ряд (6.1), то , и, следовательно, справедлива формула



(6.4)

Доказательство.

Дифференцируя т раз равенство (6.1), получим:

Примем х = х0 , тогда f(m)(x0) = m!am , что доказывает формулу (6.4).

 

Следствие. Если в некоторой окрестности заданной точки функция раскладывается в степенной ряд, то это разложение единственно.

Действительно, из теоремы 6.2 следует, что коэффициенты степенного ряда могут иметь только вид, задаваемый формулой (6.4).

 

Определение 6.2. Пусть функция f(x) определена в некоторой окрестности точки х0 и имеет в этой точке производные всех порядков. Тогда ряд

называется рядом Тейлора.

 



<== предыдущая лекция | следующая лекция ==>
КОЛЛОКВИУМ ПО ЧИСЛОВЫМ И ФУНКЦИОНАЛЬНЫМ РЯДАМ | 


Карта сайта Карта сайта укр


Уроки php mysql Программирование

Онлайн система счисления Калькулятор онлайн обычный Инженерный калькулятор онлайн Замена русских букв на английские для вебмастеров Замена русских букв на английские

Аппаратное и программное обеспечение Графика и компьютерная сфера Интегрированная геоинформационная система Интернет Компьютер Комплектующие компьютера Лекции Методы и средства измерений неэлектрических величин Обслуживание компьютерных и периферийных устройств Операционные системы Параллельное программирование Проектирование электронных средств Периферийные устройства Полезные ресурсы для программистов Программы для программистов Статьи для программистов Cтруктура и организация данных


 


Не нашли то, что искали? Google вам в помощь!

 
 

© life-prog.ru При использовании материалов прямая ссылка на сайт обязательна.

Генерация страницы за: 4.526 сек.