русс | укр

Языки программирования

ПаскальСиАссемблерJavaMatlabPhpHtmlJavaScriptCSSC#DelphiТурбо Пролог

Компьютерные сетиСистемное программное обеспечениеИнформационные технологииПрограммирование

Все о программировании


Linux Unix Алгоритмические языки Аналоговые и гибридные вычислительные устройства Архитектура микроконтроллеров Введение в разработку распределенных информационных систем Введение в численные методы Дискретная математика Информационное обслуживание пользователей Информация и моделирование в управлении производством Компьютерная графика Математическое и компьютерное моделирование Моделирование Нейрокомпьютеры Проектирование программ диагностики компьютерных систем и сетей Проектирование системных программ Системы счисления Теория статистики Теория оптимизации Уроки AutoCAD 3D Уроки базы данных Access Уроки Orcad Цифровые автоматы Шпаргалки по компьютеру Шпаргалки по программированию Экспертные системы Элементы теории информации

КОЛЛОКВИУМ ПО ЧИСЛОВЫМ И ФУНКЦИОНАЛЬНЫМ РЯДАМ


Дата добавления: 2015-08-14; просмотров: 1852; Нарушение авторских прав


 

1. Пусть задана бесконечная последовательность чисел .

Числовым рядом наз выражение вида (1).

Суммы вида , , , наз частичными суммами ряда (1).

Числовой ряд наз сходящимся, если сущ конечный предел последовательности частичных сумм: , сумма ряда. Если или не сущ, то числовой ряд наз расходящимся и суммы не имеет.

Свойства сходящихся рядов. Дан ряд .

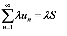
1.Если ряд сх-ся и его сумма равна , то ряд , где некоторое число, также сх-ся и его сумма равна , т.е., если , то .

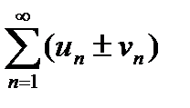
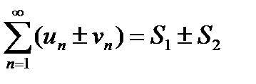
2.Если ряды и сх-ся и их суммы соответственно равны и , то ряды также сх-ся и их суммы равны , т.е, если и , то .

3. Если сх-ся ряд , то сх-ся и ряд , получаемый из данного отбрасыванием первых членов и обратно. Т.е. на сходимость ряда не влияет отбрасывание любого конечного числа его первых членов.

Ряды-эталоны: обобщенный гармонич ряд, геометр. прогрес

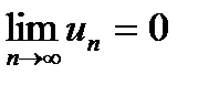
Необходимый признак сходимости: если ряд сх-ся, то его общий член стремится к 0, при , т.е. .

2. Первый признак сравнения. Пусть даны два ряда (1) и (2), причем .Тогда, если сх-ся ряд (2), то сх-ся и ряд (1); если расх-ся ряд (1), то расх-ся и ряд (2).

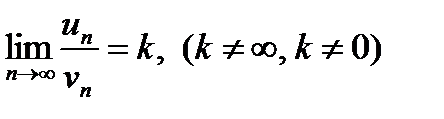
3. Второй признак сравнения. Пусть даны два ряда (1) и (2). Если сущ конечный и отличный от нуля предел , то оба ряда ведут себя одинаково (оба сх-ся или оба расх-ся).

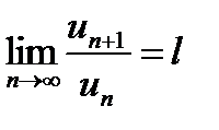
4. Признак Даламбера. Если для ряда сущ предел , то при ряд сх-ся, при ряд расх-ся, при ? (дополнительное исследование).

5. Признак Коши. Если для ряда сущ предел , то при ряд сх-ся, при ряд расх-ся, при ? (дополнительное исследование).

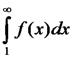
6. Интегральный признак Коши-Маклорена сх-ти числового ряда. Если при ф-ция непрерывная, положительная и монотонно убывающая, то ряд , где , сх-ся или расх-ся в зависимости от того сх-ся или расх-ся несобственный интеграл .



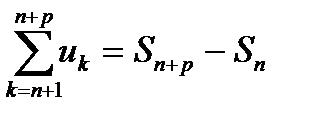
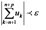
7. Критерий Коши сх-ти числового ряда. Для того чтобы ряд сх-ся, необходимо и достаточно, чтобы для любого положительного числа нашелся номер такой, что для всех номеров , удовлетворяющих условию и для всех натуральных чисел выполнялось неравенство . Для док-ва достаточно заметить, что есть разность частичных сумм.

Критерий К. представляет в основном теоретический интерес, его использование для исследования рядов сопряжено с трудностями. Поэтому наличие критерия К. не снимает вопроса об установлении других практически эффективных признаков сходимости и расходимости рядов

Критерий сходимости положительных рядов (критерий Коши)—основной признак сходимости числовых рядов, установленный Огюстеном Коши. Положительный ряд сходится тогда и только тогда, когда последовательность его частичных сумм ограничена сверху.

Необходимость следует из того, что всякая сходящаяся последовательность явл ограниченной (теорема: сходящаяся последовательность ограничена).

Достаточность вытекает из того, что последовательность частичных сумм не убывает и, стало быть, для сх-ти этой последовательности достаточно, чтобы она была ограничена (теорема: если неубывающая (невозрастающая) последовательность ограничена сверху (снизу), то она сх-ся).

Знакопеременный ряд наз абсолютно сходящимся, если сх-ся ряд составленный из абсолютных величин его членов.

Знакопеременный ряд наз условно сходящимся, (неабсолютно сходящимся) если он сх-ся, а ряд составленный из абсолютных величин его членов, расх-ся.

8. Теорема Лейбница: если в знакочередующемся ряде

1) (абсолютные величины членов ряда монотонно убывают);

2) (общий член ряда стремится к нулю при ), то ряд сх-ся, его сумма положительна и не превосходит первого члена.

9. Признак Абеля сходимости числового ряда. Дан ряд , где

и две последовательности действит чисел. Если ряд сх-ся, а числа образуют монотонную и ограниченную последовательность , то ряд сх-ся.

10. Признак Дирихле сходимости числового ряда. Дан ряд , где

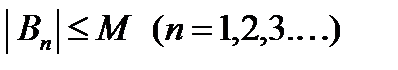
и две последовательности действит чисел. Если частичные суммы ряда в совокупности ограничены: , а числа образуют монотонную последоврального ательность, стремящуюся к нулю: , то ряд сх-ся.

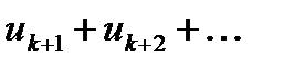
11. Рассмотрим сх-ся ряд (А) и будем объединять его члены произвольным образом в группы, не меняя при этом их расположения: …, где некоторая, извлеченная из натурального ряда, частичная возрастающая последовательность номеров.

Теорема о сочетательном свойстве сходящегося числового ряда. Ряд, составленный из сумм:

( )+( )+…+( )+… (А*)

всегда сх-ся и имеет ту же сумму, что и исходный ряд (сх-ся ряд обладает сочетательным свойством).

12. Дан сх-ся ряд (А), имеющий сумму . Переставив в нем члены произвольным образом, получим новый ряд: ( ). Каждый член этого ряда отождествляется с определенным членом исходного ряда.

Теорема о переместительном свойстве абсолютно сходящегося числовог ряда. Если ряд сх-ся абсолютно, то ряд , полученный из него перестановкой членов, также сх-ся и имеет ту же сумму , что и исходный ряд (абсолютно сх-ся ряд обладает переместительным свойством).

13. Теорема Римана о перестановке условно сходящегося числового ряда. Если ряд сх-ся неабсолютно (условно), то какое бы ни взять наперед число (конечное или равное ), то можно так переставить члены в этом ряде, чтобы преобразованный ряд имел своей суммой именно .

14. Пусть даны два сходящихся ряда: (А) и (В). Рассмотрим всевозможные парные произведения членов этих рядов: ; из них составим бесконечную прямоугольную таблицу:

(*)

Эти произведения можно многими способами располагать в виде простой последовательности. Можно, например, выписать произведения по диагоналям: … или по квадратам: … Составленный из подобной последовательности ряд наз произведением рядов (А) и (В).

Теорема Коши о произведении двух абсолютно сходящихся числовых рядов: если ряды (А) и (В) сх-ся абсолютно, то их произведение, составленное из произведений (*), взятых в любом порядке, также сх-ся и имеет своей суммой произведение сумм АВ.

15. Дана последовательность, элементами которой явл. ф-ции: (1) от одной и той же переменной , определенные в некоторой области ее изменения . Пусть для каждого из эта последовательность имеет конечный предел. Так как он вполне определяется значением , то также представляет собой функцию от ): , которая наз предельной ф-цией для последовательности (или для ф-ции .

Допустим, что для всех из имеет место равенство (2). По определению предела это означает: лишь только зафиксировано из (чтобы иметь дело с определенной числовой последовательностью), по любому заданному найдется такой номер , что для всех выполняется нер-во (3), где под разумеется именно то значение, которое было заранее фиксировано. Если взять другое значение , то получится другая числовая последовательность, и при том же найденный номер может оказаться уже не пригодным; тогда его пришлось бы заменить большим. Но принимает бесконечное мн-во значений, так что мы получаем бесконечное мн-во различных числовых последовательностей, сходящихся к пределу. Для каждой из них найдется свой номер . Возникает вопрос: сущ ли такой номер , который (при заданном ) способен обслужить сразувсе эти последовательности.

Если 1) последовательность имеет в предельную ф-цию и для каждого числа сущ такой не зависящий от номер , что при нер-во выполняется сразу для всех из , то говорят, что последовательность сх-ся (или ф-ция стремится) к ф-ции равномерно относительно в области .

Критерий Коши равномерной сходимости функциональной последовательности. Для того, чтобы последовательность 1) имела предельную функцию и 2) сходилась к этой ф-ции равномерно относительно в области , необходимо и достаточно, чтобы для каждого числа существовал такой не зависящий от номер , чтобы при и любом нер-во имело место для всех из одновременно.

 

Последовательность сходится равномерно к функции на множестве , если . ( не может быть одной точкой).

Замечание. Из равномерной сходимости на множестве следует обычная (точечная) сходимость этой же последовательности на . Обратное неверно.

 

Последовательность сходится равномерно на , если существует , такая что сходится равномерно к на . Обозначается на .

Геометрический смысл равномерной сходимости , то есть графики всех функций с номером на множестве лежат в " -полоске" графика функции .

Критерий Коши равномерной сходимости функциональной последовательности. сходится равномерно на тогда и только тогда, когда .

Доказательство. ( ) сходится равномерно на функция определенная на такая что на .

Фиксируется . для .

.

( ) Имеем: .

Критерий Коши выполнени (фиксированного). фиксированного числовая последовательность сходится в фиксированному числу. функциональная последовательность сходится к некоторой функции на . Докажем на .

Имеем по условию: . Для любого фиксированного переходим в неравенстве к . функциональная последовательность на .

 

16. Признак Вейерштрасса равномерной сходимости функционального ряда. Если члены функционального ряда удовлетворяют в области неравенствам , где члены некоторого сходящегосячислового ряда , то ряд сх-ся в области равномерно.

Функциональный ряд наз мажорируемым в области , если сущ такой сходящийсячисловой ряд с положительными членами, что для всех значений выполняются соотношения . Иначе говоря, ряд наз мажорируемым, если каждый его член по абсолютной величине не больше соответствующего члена некоторого сходящегося числового ряда с положительными членами.

17. Признак Дини равномерной сходимости функционального ряда. Пусть члены ряда непрерывны во всем промежутке и положительны. Если ряд имеет сумму , также непрерывную на всем промежутке, то он сх-ся в этом промежутке равномерно.

18. Признак Лейбница равномерной сходимости функционального ряда.

19. Признак Абеля равномерной сходимости функционального ряда. Пусть ряд сходится равномерно в области , а ф-ции (при каждом ) образует монотонную последовательность и в совокупности – при любых и – ограничены: . Тогда ряд сходится равномерно в области .

20. Признак Дирихле равномерной сходимости функционального ряда. Пусть частичные суммы ряда в совокупности – при любых и – ограничены: , а ф-ции (при каждом ) образует монотонную последовательность, которая сх-ся к 0 равномерно в области . Тогда и ряд сходится равномерно в области .

21. Теорема о почленном переходе к пределу в равномерно сходящемся ряде. Пусть каждая из ф-ций определена в области и имеет, при стремлении к , конечный предел: . Если ряд в области сх-ся равномерно, то 1) сх-ся ряд, составленный из этих , и 2) сумма ряда также имеет при предел, именно: .

22. Теорема о непрерывности суммы равномерно сходящегося ряда из непрерывных функций. Пусть ф-ции определены в промежутке и все непрерывны в некоторой точке этого промежутка. Если ряд в промежутке сх-ся равномерно, то и сумма ряда в точке также будет непрерывна. Конец.

Если ф-ции непрерывны во всем промежутке , то при наличии равномерной сходимости и сумма ряда , будет непрерывна во всем промежутке.

Пусть члены ряда непрерывны во всем промежутке и положительны. Если ряд имеет сумму , также непрерывную во всем промежутке, то он сх-ся в этом промежутке равномерно. (Т-ма Дини)

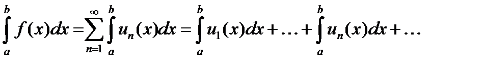
23. Теорема о почленном интегрировании равномерно сходящегося функционального ряда. Если ф-ции непрерывны в промежутке , и составленный из них ряд сх-ся в этом промежутке равномерно, то интеграл от суммы ряда представляется следующим образом:

Обобщение теоремы, связанное с отказом от требования непрерывности рассматриваемых ф-ций. Теорема: если ф-ции интегрируемы в промежутке , и составленный из них ряд сх-ся в этом промежутке равномерно, то сумма ряда также будет интегрируема, и имеет место:

24. Теорема о почленном дифференцировании равномерно сходящегося функционального ряда. Пусть ф-ции определены в промежутке и имеют в нем непрерывные производные . Если в этом промежутке не только сх-ся ряд , но и равномерно сх-ся ряд из производных: то и сумма ряда имеет в производную, причем .

Таким образом, при указанных условиях, производная от суммы ряда равна сумме ряда, составленного из производных его членов (допустимо почленное дифференцирование ряда).

Теорема. Пусть ф-ции определены в промежутке и имеют в нем конечные производные . Если ряд сх-ся хоть в одной точке, например при , а ряд , составленный из производных, равномерно сх-ся во всем промежутке , то тогда 1) ряд сх-ся равномерно во всем промежутке и 2) его сумма имеет в производную, выражаемую равенством .

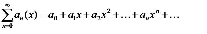
25. Степенным рядом наз функциональный ряд вида , где постоянные числа, называемые коэффициентами. Радиусом сходимости степенного ряда наз такое число , что для всех , степенной ряд сх-ся, а для всех , , расходится. Интервал называется интервалом сходимости ст ряда .

Первая теорема Абеля о сходимости степенного ряда. Если степенной ряд сх-ся при некотором значении не равном нулю, то он сх-ся абсолютно при всяком значении , для которого . Если ряд расходится при некотором значении , то он расходится при всяком , для которого .

26. Теорема Коши-Адамара о интервале и радиусе сходимости степенного ряда. Радиус сх-ти ряда есть величина равная (фор-ла Коши-Адамара), интервал сх-ти .

27. Дан степенной ряд . (1).

1).Какое бы положительное число ни взять, ряд будет сх-ся равномерно относительно в замкнутом промежутке ;

2). Сумма ряда для всех значений между и представляет собой непрерывную ф-цию от ;

3). Если два ст ряда в окрестности точки имеют одну и ту же сумму, то эти ряды тождественны, т.е. соответственные коэффициенты их попарно равны. Теорема устанавливает единственность разложения ф-ции в ст. ряд;

4). Если ст ряд на конце его промежутка сх-ти расходится, то сходимость ряда в промежутке не может быть равномерной.

5). Если ст ряд сх-ся при , то его сумма сохраняет непрерывность (разумеется слева) и при этом значении , т.е. . (Теорема Абеля).

6). Ст. ряд в промежутке , где , всегда можно почленно интегрировать. значение здесь может совпадать и с одним из концов промежутка сх-ти, если на этом конце ряд сх-ся.

7). Ст. ряд внутри его промежутка сх-ти можно почленно дифференцировать. Утверждение сохраняет силу и для конца промежутка сх-ти, если только ст ряд на этом конце сх-ся. Радиусы сх-ти ст. ряда и ряда, полученного из него почленным дифференцированием, совпадают.

8). Ф-ция, представляемая ст. рядом в его промежутке сх-ти, имеет внутри этого промежутка производные всех порядков. Сам ряд, по отношению к этой ф-ции, является ее рядом Тейлора.

Ф-ция, которая разлагается в ряд Тейлора по степеням наз аналитической в точке .

Ряд (1) независимо от того, сх-ся ли он и имеет ли, на самом деле, своей суммой , наз рядом Тейлора для .

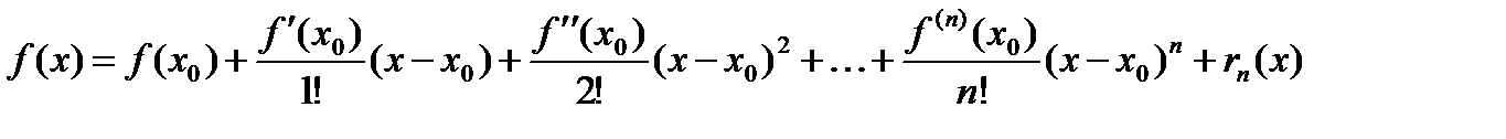
Теорема о связи степенного ряда с рядом Тейлора его суммы. Для того чтобы при некотором значении имело место разложение (1) (чтобы ряд Тейлора представлял данную функцию ) необходимо и достаточно, чтобы остаточный член формулы Тейлора при этом значении стремился к нулю с возрастанием : .

28. Теорема единственности для степенных рядов. Если два ст ряда в окрестности точки имеют одну и ту же сумму, то эти ряды тождественны, т.е. соответственные коэффициенты их попарно равны. Теорема устанавливает единственность разложения ф-ции в ст. ряд.

29. Вторая теорема Абеля о равномерной сходимости степенного ряда. Вторая теорема Абеля: Пусть степенной ряд сходится в точке . Тогда он сходится равномерно по на отрезке, соединяющем точки 0 и .

 



<== предыдущая лекция | следующая лекция ==>
Материалы с малыми диэлектрическими потерями (неполярные). | Критерий Коши сходимости числовых рядов.


Карта сайта Карта сайта укр


Уроки php mysql Программирование

Онлайн система счисления Калькулятор онлайн обычный Инженерный калькулятор онлайн Замена русских букв на английские для вебмастеров Замена русских букв на английские

Аппаратное и программное обеспечение Графика и компьютерная сфера Интегрированная геоинформационная система Интернет Компьютер Комплектующие компьютера Лекции Методы и средства измерений неэлектрических величин Обслуживание компьютерных и периферийных устройств Операционные системы Параллельное программирование Проектирование электронных средств Периферийные устройства Полезные ресурсы для программистов Программы для программистов Статьи для программистов Cтруктура и организация данных


 


Не нашли то, что искали? Google вам в помощь!

 
 

© life-prog.ru При использовании материалов прямая ссылка на сайт обязательна.

Генерация страницы за: 1.246 сек.