тут expr - розвинений в ряд вираз;
a - значення x, в околиці якого виконується розвинення (по степеням x − a);
n - параметр, що вказує на порядок розвинення і представлений цілим пози-
тивним числом.
Якщо a вказується просто у вигляді імені змінної, то виробляється обчислення ряду і многочлена Маклорена.
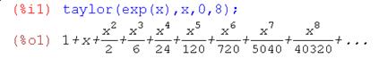
Приклад 1. Знайти многочлен Тейлора 8-ій степені експоненціальної функції ex на початку координат

Разом з командою taylor для розвинення функцій і виразів в ряди використується команда powerseries (будується розкладання для заданого виразу по змінній x в околу a). Результатом виконання команди powerseries може бути побудова її ряду Тейлора в загальній формі, наприклад:

Ряди можна складати, віднімати, множити і ділити один на одного, при цьому точність розвинення враховується автоматично, наприклад




тобто розкладання йде до п'ятого порядку (точність першого ряду).
Завдання для самостійного розв‘язку
Розкласти функцію в ряд Тейлора по степеням х в точці х = 1 до шостого порядку
8.49.
Відповідь:
8.50.
. Відповідь:
8.51.
Відповідь:
8.52.
Відповідь:
8.53.
Відповідь:
8.54.
Відповідь:
8.55.
Відповідь:
8.56.
. Відповідь:
8.57.
. Відповідь:
8.58.
Відповідь:
8.59.
. Відповідь:
8.60.
. Відповідь:
8.61.
Відповідь:
8.62.
Відповідь:
8.63.
Відповідь:
8.64.
Відповідь: