Теорема (признак Лейбница). Знакочередующийся ряд сходится, если:
1) последовательность абсолютных величин членов ряда монотонно убывает, т.е.
.
2) общий член ряда стремится к нулю:
. При этом сумма S ряда удовлетворяет неравенствам 
Пусть дан знакопеременный ряд
, где
– произвольные числа (действительные или комплексные). Если ряд
, составленный из абсолютных величин его членов, сходится, то данный ряд
также сходится. В этом случае знакопеременный ряд
называется абсолютно сходящимся. Следовательно, если же знакопеременный ряд
сходится, а ряд
расходится, то данный ряд
называется условно сходящимся.
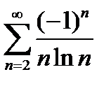
Пример 1.Исследовать на сходимость ряд
Решение. 1. Исследуем на сходимость ряд
из абсолютных величин членов данного ряда:
=
.Сравним этот ряд с рядом
. Так как
<
, то
>
для всех n.Ряд
расходится, так как расходится ряд
(как ряд Дирихле
при p=
<1). Значит, по 1-му признаку сравнения расходится и ряд
.
Итак, исходный ряд не является абсолютно сходящимся.
2. Выясним, сходится ли данный знакочередующийся ряд, применяя признак Лейбница.
· Проверим, выполняется ли неравенство
>
для абсолютных
величин членов данного ряда:
=
>
.
Данное неравенство эквивалентно неравенству
<
, которое верно для любого n=1,2….Значит
для все номеров n = 1,2…
· Найдём предел общего члена ряда:
=
= 0.
Таким образом, для данного знакочередующегося ряда выполнены оба условия, содержащиеся в признаке Лейбница, откуда следует, что исходный ряд сходится, однако он не является абсолютно сходящимся, поэтому данный ряд сходится условно. Ответ: ряд
сходится условно.
Задание 6. Исследовать на абсолютную и условную сходимость ряды:
1)
| 6)
|
2)
| 7)
|
3)
| 8)
|
4)
| 9)
|
5)
| 10)
|