Числовой ряд
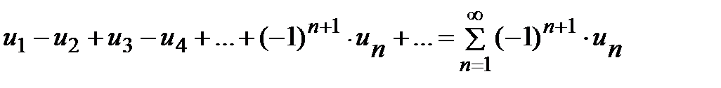
называется знакопеременным, если среди его членов имеются как положительные, так и отрицательные числа. Числовой ряд называется знакочередующимся, если любые два стоящие рядом члена имеют противоположные знаки:
,
где
для всех
, т.е. ряд, положительные и отрицательные члены которого следуют друг за другом поочередно. Например,

Для знакочередующихся рядов имеет место достаточный признак сходимости – признак Лейбница.