русс | укр

Языки программирования

ПаскальСиАссемблерJavaMatlabPhpHtmlJavaScriptCSSC#DelphiТурбо Пролог

Компьютерные сетиСистемное программное обеспечениеИнформационные технологииПрограммирование

Все о программировании


Linux Unix Алгоритмические языки Аналоговые и гибридные вычислительные устройства Архитектура микроконтроллеров Введение в разработку распределенных информационных систем Введение в численные методы Дискретная математика Информационное обслуживание пользователей Информация и моделирование в управлении производством Компьютерная графика Математическое и компьютерное моделирование Моделирование Нейрокомпьютеры Проектирование программ диагностики компьютерных систем и сетей Проектирование системных программ Системы счисления Теория статистики Теория оптимизации Уроки AutoCAD 3D Уроки базы данных Access Уроки Orcad Цифровые автоматы Шпаргалки по компьютеру Шпаргалки по программированию Экспертные системы Элементы теории информации

Знакочередующиеся ряды. Признак Лейбница


Дата добавления: 2015-08-14; просмотров: 8619; Нарушение авторских прав


Определение 1. Числовой ряд ,
где , называется знакочередующимся рядом.

Для установления сходимости таких рядов существует достаточный

признак сходимости, называемый признаком Лейбница.

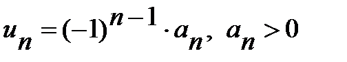
Теорема 1 (признак Лейбница). Пусть числовой ряд удовлетворяет условиям:
1) , т.е. этот ряд знакочередующийся;
2) члены этого ряда монотонно убывают по абсолютной величине: т.е. ;
3) общий член ряда стремится к 0, т.е. .
Тогда ряд сходится и его сумма .

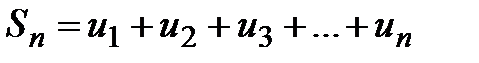
Доказательство. 1) Сначала рассмотрим частичную сумму чётного порядка и запишем её в виде: . В силу условия 2) теоремы 1 все выражения в скобках положительны, тогда сумма и последовательность монотонно возрастает: .

Теперь запишем эту сумму иначе: .
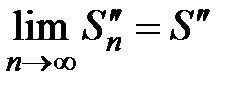
В последнем выражении каждое из выражений в скобках положительно, поэтому , из чего следует, что последовательность является ограниченной, и так как она монотонно возрастает, то она сходится. Другими словами существует , причём .

2) Рассмотрим частичную сумму нечётного порядка , которая положительна. Можно показать, что последовательность монотонно возрастает, так как монотонно возрастает последовательность и . Запишем выражение для в виде: , так как все выражения в скобках положительны, то . По условию 3) теоремы 1 , тогда , откуда .

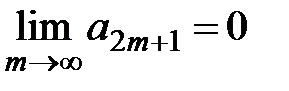
Итак, при всех n (чётных или нечётных), , следовательно, исходный ряд сходится. Теорема доказана.

Замечание 1. Признак Лейбница можно также применять к рядам, для которых условия теоремы выполняются с некоторого номера N.
Замечание 2. Условие 2) теоремы 1 (признак Лейбница) о монотонности членов ряда существенно.

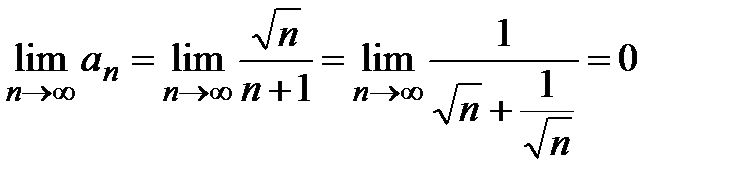
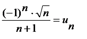
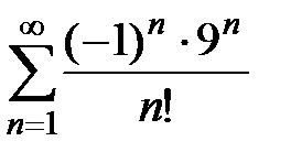
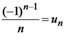
Пример 1. Исследовать на сходимость ряд .

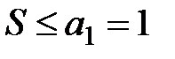
Решение. Обозначим . К данному ряду применим признак Лейбница. Проверим выполнение условий теоремы 1: условие 1) ряд знакочередующийся ; условие 2) выполнено: ; условие 3) также выполнено: . Следовательно, по признаку Лейбница данный ряд сходится, причем его сумма .



Ответ: ряд сходится.

3.2. Знакопеременные ряды. Абсолютная и условная сходимость.
Достаточный признак сходимости знакопеременных рядов

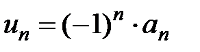
Числовой ряд , члены которого имеют произвольные знаки (+), (−), называется знакопеременным рядом. Рассмотренные выше знакочередующиеся ряды являются частным случаем знакопеременного ряда; понятно, что не всякий знакопеременный ряд является знакочередующимся. Например, ряд − знакопеременный, но не являющийся знакочередующимся рядом.

Отметим, что в знакопеременном ряде членов как со знаком (+), так и со знаком (−) бесконечно много. Если это не выполняется, например, ряд содержит конечное число отрицательных членов, то их можно отбросить и рассматривать ряд, составленный только из положительных членов, и наоборот.

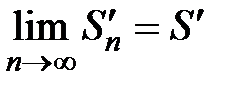
Определение 1. Если числовой ряд сходится и его сумма равна S,
а частичная сумма равна Sn , то называется остатком ряда, причём , т.е. остаток сходящегося ряда стремится к 0.

Рассмотрим сходящийся знакочередующийся ряд как частный случай знакопеременного ряда

, где . Запишем его в виде , тогда по признаку Лейбница ; так как , то , т.е. остаток сходящегося ряда стремится к 0.

Для знакопеременных рядов вводятся понятия абсолютной и условной

сходимости.

Определение 2. Ряд называется сходящимся абсолютно, если сходится ряд, составленный из абсолютных величин его членов .

Определение 3. Если числовой ряд сходится, а ряд , составленный из абсолютных величин его членов, расходится, то исходный ряд называется условно (неабсолютно) сходящимся.

Теорема 2 (достаточный признак сходимости знакопеременных рядов). Знакопеременный ряд сходится, причём абсолютно, если сходится ряд, составленный из абсолютных величин его членов .

Доказательство. Обозначим через частичную сумму ряда : , а через − частичную сумму ряда : . Обозначим через сумму всех положительных членов, а через сумму абсолютных величин всех отрицательных членов, входящих в . Очевидно, что .

По условию теоремы ряд сходится, тогда существует , и так как последовательность − монотонно возрастающая и неотрицательная, то . Очевидно, что , тогда последовательности и являются монотонно возрастающими и ограниченными, причем их пределы равны и . Тогда . Значит, исходный знакопеременный ряд сходится и сходится абсолютно. Теорема доказана.

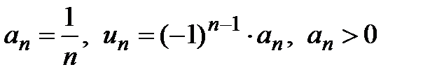
Замечание. Теорема 2 даёт только достаточное условие сходимости знакопеременных рядов. Обратная теорема неверна, т.е. если знакопеременный ряд сходится, то не обязательно, что сходится ряд, составленный из модулей (он может быть как сходящимся, так и расходящимся). Например, ряд сходится по признаку Лейбница (см. пример 1 данной лекции), а ряд, составленный из абсолютных величин его членов, (гармонический ряд) расходится.

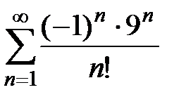
Пример 2. Исследовать на условную и абсолютную сходимость ряд .

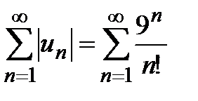
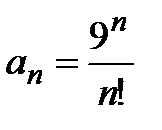
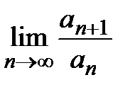
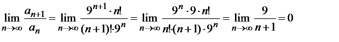
Решение. Данный ряд является знакопеременным, общий член которого обозначим: . Составим ряд из абсолютных величин и применим к нему признак Даламбера. Составим предел , где , . Проведя преобразования, получаем . Таким образом, ряд сходится, а значит, исходный знакопеременный ряд сходится абсолютно.
Ответ: ряд абсолютно сходится.

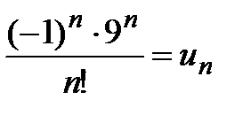
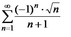
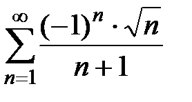
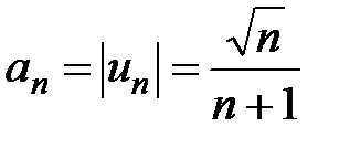
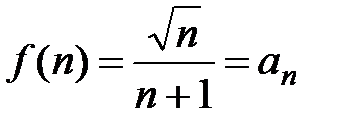
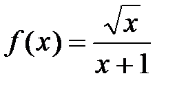
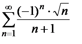
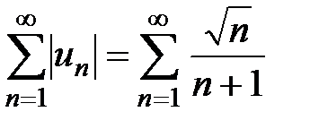
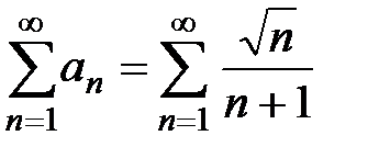
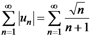
Пример 3. Исследовать на абсолютную и условную сходимость ряд .

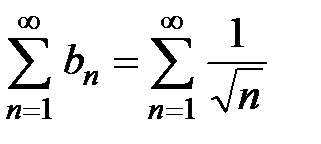
Решение. А) Исследуем ряд на абсолютную сходимость. Обозначим и составим ряд из абсолютных величин . Получаем ряд с положительными членами, к которому применяем предельный признак сравнения рядов (теорема 2, лекция 2, разд. 2.2). Для сравнения с рядом рассмотрим ряд, который имеет вид . Этот ряд является рядом Дирихле с показателем , т.е. он расходится. Составим и вычислим следующий предел . Так как предел существует, не равен 0 и не равен ∞, то оба ряда и ведут себя одинаково. Таким образом, ряд расходится, а значит, исходный ряд не является абсолютно сходящимся.

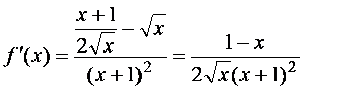
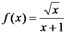
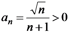
Б) Далее исследуем исходный ряд на условную сходимость. Для этого проверим выполнение условий признака Лейбница (теорема 1, разд. 3.1). Условие 1): , где , т.е. этот ряд знакочередующийся. Для проверки условия 2) о монотонном убывании членов ряда используем следующий метод. Рассмотрим вспомогательную функцию , определенную при (функция такова, что при имеем ). Для исследования этой функции на монотонность найдём её производную: . Эта производная при . Следовательно, функция монотонно убывает при указанных значениях х. Полагая , получаем , где . Это означает, чтоусловие 2) выполнено. Для проверки условия 3) находим предел общего члена : , т.е. третье условие выполняется. Таким образом, для исходного ряда выполнены все условия признака Лейбница, т.е. он сходится.

Ответ: ряд условно сходится.

 



<== предыдущая лекция | следующая лекция ==>
Признак Даламбера сходимости рядов с положительными членами | Свойства абсолютно и условно сходящихся рядов


Карта сайта Карта сайта укр


Уроки php mysql Программирование

Онлайн система счисления Калькулятор онлайн обычный Инженерный калькулятор онлайн Замена русских букв на английские для вебмастеров Замена русских букв на английские

Аппаратное и программное обеспечение Графика и компьютерная сфера Интегрированная геоинформационная система Интернет Компьютер Комплектующие компьютера Лекции Методы и средства измерений неэлектрических величин Обслуживание компьютерных и периферийных устройств Операционные системы Параллельное программирование Проектирование электронных средств Периферийные устройства Полезные ресурсы для программистов Программы для программистов Статьи для программистов Cтруктура и организация данных


 


Не нашли то, что искали? Google вам в помощь!

 
 

© life-prog.ru При использовании материалов прямая ссылка на сайт обязательна.

Генерация страницы за: 0.677 сек.