русс | укр

Языки программирования

ПаскальСиАссемблерJavaMatlabPhpHtmlJavaScriptCSSC#DelphiТурбо Пролог

Компьютерные сетиСистемное программное обеспечениеИнформационные технологииПрограммирование

Все о программировании


Linux Unix Алгоритмические языки Аналоговые и гибридные вычислительные устройства Архитектура микроконтроллеров Введение в разработку распределенных информационных систем Введение в численные методы Дискретная математика Информационное обслуживание пользователей Информация и моделирование в управлении производством Компьютерная графика Математическое и компьютерное моделирование Моделирование Нейрокомпьютеры Проектирование программ диагностики компьютерных систем и сетей Проектирование системных программ Системы счисления Теория статистики Теория оптимизации Уроки AutoCAD 3D Уроки базы данных Access Уроки Orcad Цифровые автоматы Шпаргалки по компьютеру Шпаргалки по программированию Экспертные системы Элементы теории информации

Признаки сравнения рядов с положительными членами


Дата добавления: 2015-08-14; просмотров: 2025; Нарушение авторских прав


Рассмотрим некоторые признаки, устанавливающие сходимость или расходимость рядов с положительными членами путём сравнения их с рядами, сходимость или расходимость которых известна.

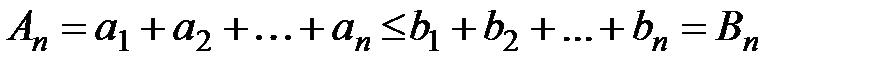
Теорема 1 (I признак сравнения рядов с положительными членами). Пусть даны 2 ряда с положительными членами и .
Если, начиная с некоторого номера N, для всех выполняется неравенство , тогда

1) из сходимости ряда следует сходимость ряда ,
2) из расходимости ряда следует расходимость ряда .

Доказательство. На основании того, что отбрасывание конечного числа членов (свойство 1, лекция 1, разд. 1.3) не влияет на сходимость или расходимость ряда, можно считать, не нарушая общности, что условие выполнено для всех . Пусть − частичная сумма ряда , а − частичная сумма ряда . По условию .

1) Если ряд сходится, то последовательность ограничена сверху, а значит, ограничена сверху и последовательность . Следовательно, по теореме 2 (лекция 1, разд. 1.4) о необходимом и достаточном условии сходимости ряда с положительными членами ряд сходится, так как существует конечный предел последовательности .

2) Если ряд расходится, то последовательность не ограничена, а значит, не ограничена и последовательность . Тогда по теореме 2 (лекция 1, разд. 1.4) ряд расходится. Теорема доказана.

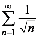
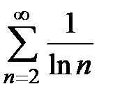
Пример 2. Исследовать на сходимость ряд .

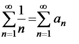
Решение. Обозначим . Сравним ряд с гармоническим рядом . При , а так как гармонический ряд

расходится, то расходится и ряд .

Ответ: ряд расходится.

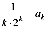
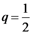
Пример 3. Исследовать на сходимость ряд .

Решение. Обозначим . Сравним данный ряд с рядом

геометрической прогрессии , который сходится, так как знаменатель прогрессии , то первые члены ряда равны, а при , , значит, ряд сходится по I признаку сравнения.

Ответ: ряд сходится.



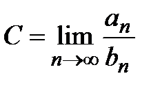
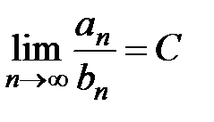
Теорема 2 (предельный признак сравнения рядов с положительными членами). Даны 2 ряда с положительными членами и и пусть существует , тогда эти два ряда либо сходятся, либо расходятся одновременно.

Доказательство. Так как по условию и , то согласно свойству предела . По условию , значит, . По определению предела для всех существует окрестность точки С такая, что и существует такое натуральное число ,
зависящее от , что для всех выполняется неравенство , или .

Если ряд сходится, то сходится и ряд (свойство 2, лекция 1, разд. 1.3), откуда по I признаку сравнения рядов следует сходимость ряда , так как .

Если же ряд расходится, то расходится и ряд , а так как , то по I признаку сравнения рядов ряд также расходится. Теорема доказана.

Замечание. Если , или , то предельный признак не применим (теорема 2 в этих случаях не верна).

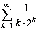
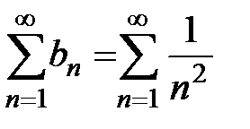
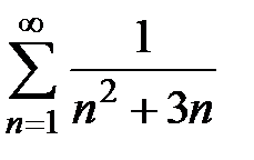
Пример 4. Исследовать на сходимость ряд .

Решение. Обозначим . Рассмотрим ряд . Так как

, то эти два ряда одновременно сходятся,

или расходятся (теорема 2). Поскольку − ряд Дирихле с

сходится, следовательно, исходный ряд тоже сходится.

Ответ: ряд сходится.

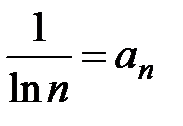
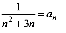
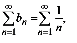
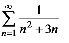
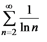
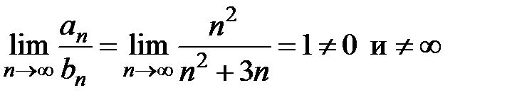
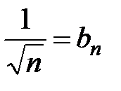
Пример 5. Исследовать на сходимость ряд .

Решение. Обозначим . Рассмотрим гармонический ряд который расходится. Так как то по теореме 1 ряд расходится.

Ответ: ряд расходится.



<== предыдущая лекция | следующая лекция ==>
Ряды Дирихле и их сходимость, гармонический ряд | Признак Даламбера сходимости рядов с положительными членами


Карта сайта Карта сайта укр


Уроки php mysql Программирование

Онлайн система счисления Калькулятор онлайн обычный Инженерный калькулятор онлайн Замена русских букв на английские для вебмастеров Замена русских букв на английские

Аппаратное и программное обеспечение Графика и компьютерная сфера Интегрированная геоинформационная система Интернет Компьютер Комплектующие компьютера Лекции Методы и средства измерений неэлектрических величин Обслуживание компьютерных и периферийных устройств Операционные системы Параллельное программирование Проектирование электронных средств Периферийные устройства Полезные ресурсы для программистов Программы для программистов Статьи для программистов Cтруктура и организация данных


 


Не нашли то, что искали? Google вам в помощь!

 
 

© life-prog.ru При использовании материалов прямая ссылка на сайт обязательна.

Генерация страницы за: 1.966 сек.