русс | укр

Языки программирования

ПаскальСиАссемблерJavaMatlabPhpHtmlJavaScriptCSSC#DelphiТурбо Пролог

Компьютерные сетиСистемное программное обеспечениеИнформационные технологииПрограммирование

Все о программировании


Linux Unix Алгоритмические языки Аналоговые и гибридные вычислительные устройства Архитектура микроконтроллеров Введение в разработку распределенных информационных систем Введение в численные методы Дискретная математика Информационное обслуживание пользователей Информация и моделирование в управлении производством Компьютерная графика Математическое и компьютерное моделирование Моделирование Нейрокомпьютеры Проектирование программ диагностики компьютерных систем и сетей Проектирование системных программ Системы счисления Теория статистики Теория оптимизации Уроки AutoCAD 3D Уроки базы данных Access Уроки Orcad Цифровые автоматы Шпаргалки по компьютеру Шпаргалки по программированию Экспертные системы Элементы теории информации

Построение и преобразование 3D графиков и объектов


Дата добавления: 2015-08-06; просмотров: 7184; Нарушение авторских прав


Лабораторная работа № 5

Тема: построение и преобразование 3D графиков и иных объемных объектов.

Цель:научится строить графики функций и различных объектов в пространстве, заданных неявно, в параметрической форме, в полярных и сферических координатах координатах.

Ход работы.

Задание 1. Построение графиков функции в пространстве.

Для построения графиков функций z=f(x;у) используется функция Plot3D. Она задается в следующих формах:

Plot3D[f,{ },{ }] — строит график функции z=f(x;у) при х изменяющемся в ин­тервале от до ;

а) Построим график функции при х изменяющимся от –10 до 10 и у изменяющимся от –10 до 10.

Рисунок 1.

 

 

б) Построим график функции z=x2+y2 при x изменяющимся от -10 до 10 и y изменяющимся от -10 до 10.

Рисунок 2.

Построить графики функций:

; ; , z = sin(xy); x3 + y2 - z2 = 0.

Задание 2. Построение графиков функции в пространстве, заданных параметрически.

Далеко не все поверхности можно задать уравнением z = f(x,y)) или таблично. Часто гораздо удобнее задавать их параметрически. Параметрически можно задать также кривые в пространстве. Параметрически заданные в трехмерном пространстве двухмерные поверхности или одномерные кривые можно рисовать с помощью функции ParametricPlot3D.

Вызов ParametricPlot3D[ {xt, yt, it], {t, tmin, tmax}] возвращает пространственную кривую, параметризованную переменной, изменяющейся от tmin до tmах.

Построим параметрически функции: f = 4 + (3+Cos(v))Sin(u), f = 4+(3+Cos(v))Cos(u), f = 4+Sin(v), а также функции f = 8+(3+Cos(v))Cos[u], f =3+Sin(v), f = 4+(3+Cos(v))Sin(u) на одном графике.

Рисунок 3.

 

Построить на одном графике:

а) f= 2tcost, f = 2tsint, f = 2t.



б) f=sin[u], f=cos[u], f=u/10.

 

Задание 3. Построение 3Dграфиков в сферической системе координат.

Функция выглядит так: SphericalPlot3D[r, {t, tmin, tmax}, {p,pmin,pmax} ].

Применение данной функции — самый простой способ построения сферы. Это естественно, поскольку система координат сферическая. А какая система координат называется сферической?

Рисунок 3.

 

Построить графики функции:

а) y = 1+(Sin(5u)/5), при v от 0 до π, и при u от 0 до 2π;

б) у =1+2Cos(2u), при u от 0 до π, и при v от 0 до 2π.

 

Задание 4. Фигуры вращения.

Довольно широко распространенными являются трехмерные графические объекты, полученные вращением кривых относительно некоторой оси. Например, поворачивая окружность на угол π, можно получить поверхность шара. Меняя пределы изменения угла поворота, можно строить замкнутые или незамкнутые фигуры. Для построения таких поверхностей (фигур) в Mathematica служит функция: RevolutionPlot3D[fz,{t,tmin,tmax},...] и RevolutionPlot3D [{fx,fy,fz},{t,tmin,tmax},...].

Рисунок 4.

 

 

Построить графики функции:

а) z = t4 - t2, при t от 0 до 1;

б) z=2+ cos(t), z= sin(t), при t от 0 до 2π.

 

Задание 5. Различные трехмерные объекты

Mathematica имеет ряд красочных фигур, оформленных в виде примеров данных (ExampleData). Их можно использовать для проверки работы графических функций. На рис. 5 показано построение объемной фигуры из числа таких примеров с помощью функции ListSurfacePlot. При этом используется только опция, задающая число фрагментов фигуры. Остальные опции заданы по умолчанию.

Рисунок 5.

 

 

Построить изображения также как показано на рис. 5, для:

а) Triceratops;

б) SpaceShuttle;

в) Torus.

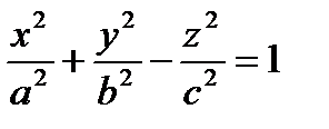
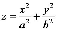
Задание 6. Важные поверхности пространства (Аналитическая геометрия пространства).

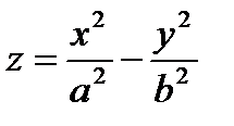
Для построения графиков в пространстве используется уже знакомая функция , где f – функция от переменных х и у, где , .

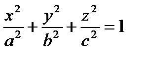
Чтобы построить график поверхности второго порядка, нужно сначала выразить переменную z из канонического уравнения. Это можно сделать, используя функцию Solve, которая была использована для решения уравнений, указав в качестве неизвестной переменной только переменную z. Например, выразим из уравнения эллипсоида переменную z:

Solve[ ,{z}] получим:

Это значит, что построение эллипсоида сводится к построению в одной системе координат двух трехмерных графиков и .

Так как графики нужно построить в одной системе координат, то воспользуемся функцией Show . Кроме того, при построении графиков с целью улучшения качества графиков используем опцию PlotPoints –> n, которая указывает, сколько точек должно участвовать в построении (n – натуральное число). С помощью опции Mesh –> False происходит удаление линий каркаса поверхности, что способствует наглядности в ее изображении.

Проделайте самостоятельно каждый из разобранных примеров. Измените параметры a,b,c и установите как их увеличение или уменьшение влияет на изображение поверхности. При этом необходимо увеличивать или уменьшать интервал изменения переменных.

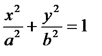
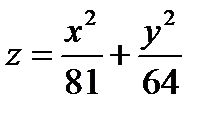
a) Эллипсоид.

Каноническое уравнение: .

Рисунок 6.

 

На рисунке 6 показано построение эллипсоида заданного уравнением .

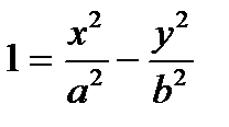
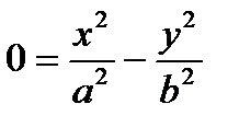
b) Однополостный гиперболоид.

Каноническое уравнение: .

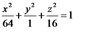
На рисунке 7 показано построение, однополостного гиперболоида, заданного уравнением .

Рисунок 7.

 

Двуполостный гиперболоид.

Каноническое уравнение: .

Рисунок 8.

 

 

На рисунке 8 показано построение двуполостного гиперболоида, заданного уравнением .

Постройте следующие поверхности второго порядка:

a) Гиперболический параболоид (каноническое уравнение: ), заданный уравнением .

b) Эллиптический параболоид (каноническое уравнение: ), заданный уравнением

c) Эллиптический цилиндр (каноническое уравнение: ),заданный уравнением .

d) Гиперболический цилиндр (каноническое уравнение: ), заданный уравнением

e) Параболический цилиндр (каноническое уравнение: ), заданный уравнением

f) Пару пересекающихся плоскостей (каноническое уравнение: ), заданных уравнением .

g) Пара параллельных плоскостей (каноническое уравнение: ), заданных уравнением .

h) Пара совпадающих плоскостей: каноническое уравнение .

 

Задание 7. Смена ракурса.

Mathematica дает возможность пользователю рассматривать любую, построенную им пространственную фигуру в разных положениях. Для изменения положения в пространстве трехмерной фигуры используется опция 3D View Point Selector. Эту опцию можно задать с помощью панели инструментов Input. При этом курсор необходимо поставить после запятой и поставленной перед закрывающейся квадратной скобкой.

На рисунке 9 показан пример использования этой опции.

Рисунок 9.

 

 

Проиллюстрируем разные положения гиперболического параболоида в пространстве. На рисунке 10 он построен без применения опции, на рисунке 11 с ее применением.

 

Рисунок 10.

 

 

Рисунок 11.

 

Рисунок 11.

 

 

Аналогично можно рассмотреть различные положения в пространстве любой исследуемой поверхности.

Выяснить геометрический смысл следующих уравнений, просмотреть данные графики со сменой ракурса:

a) ;

b) ;

c) ;

d) ;

e) ;

f) ;

g) ;

h) .

Задание 8. Создание контурных графиков.

Контурные графики позволяют представлять поверхности на плоскости. Систе­ма Mathematica имеет около 20 функций и опций построения контурных графи­ков. Вот одна из них: Contourpiot [f, {x, хmin, хmax}, { у, уmin, уmax}], где

f — функция переменных х, у;

хmin, хmax — диапазон изменения переменной х;

уmin, уmax — диапазон изменения переменной у. Функция ContourPlot создает контурный график функции f(х,у).

Необходимо представить функцию у = хsin(x + у) + ех+уcos(x + у) в виде контурного графика в диапазоне изменения х от xmin= -3 до хтах=1 и у от уmin = -3 до уmax =3. В данном случае функция Contour Plot будет иметь вид:

ContourPlot[х Sin[х+у]+Ехр[х+у]Cos[x+y],{x, -3, 1},{у, -3, 3}].

Рисунок 12.

 

 

 



<== предыдущая лекция | следующая лекция ==>
Задание 4. | Электростатические явления. Полевая трактовка закона Кулона. Электрический заряд


Карта сайта Карта сайта укр


Уроки php mysql Программирование

Онлайн система счисления Калькулятор онлайн обычный Инженерный калькулятор онлайн Замена русских букв на английские для вебмастеров Замена русских букв на английские

Аппаратное и программное обеспечение Графика и компьютерная сфера Интегрированная геоинформационная система Интернет Компьютер Комплектующие компьютера Лекции Методы и средства измерений неэлектрических величин Обслуживание компьютерных и периферийных устройств Операционные системы Параллельное программирование Проектирование электронных средств Периферийные устройства Полезные ресурсы для программистов Программы для программистов Статьи для программистов Cтруктура и организация данных


 


Не нашли то, что искали? Google вам в помощь!

 
 

© life-prog.ru При использовании материалов прямая ссылка на сайт обязательна.

Генерация страницы за: 0.044 сек.